链表实验
一、实验目的
1.掌握常用的链表的用法。
2.掌握链表在树型结构的应用。
二、实验设备与器件
PC机、TempoAI平台
三、相关知识
为了完成本关任务,你需要掌握:
· 树的基本概念,
· 二叉树的基本概念,
· 二叉树结点的链式存储。
树的基本概念
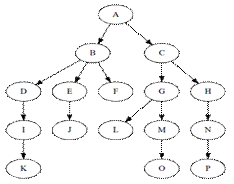
如图1所示就是一棵树,它是若干结点的集合,是由唯一的根(A 结点)和若干棵互不相交的子树组成。其中每一棵子树又是一棵树,也是由唯一的根结点和若干棵互不相交的子树组成。当树的结点数为 0 时,这棵树称为一棵空树。
结点的度是结点拥有的子树个数或者分支的个数。度为 0 的结点为叶子结点,如图中的 F 、J 、L 、K 、O 、P 结点。结点的子树的根为该结点的孩子,如图中 A 结点的孩子为 B、 C。同时,A 结点也称为 B 、C 结点的双亲结点。

图1 - 树
二叉树的基本概念
二叉树是在树的基础上加上如下两个限制条件:
1. 每个结点最多只有两棵子树,即二叉树中结点的度只能为0、1、20、1、2;
2. 子树有左右之分,不能颠倒。
根据二叉树的定义,可以知道二叉树共有 5 种基本的形态,如下面图2所示。

图2 - 二叉树的 5 种基本形态
(1)空二叉树
(2)只有根结点
(3)只有左子树,右子树为空
(4)只有右子树,左子树为空
(5)既有左子树,又有右子树
二叉树结点的链式存储
二叉树中的每个结点用一个链结点来存放。每个链结点保存该结点的数据项,以及指向左右子树的链接。结点结构如图3所示。

图3 - 二叉树的结点结构
定义 BinaryTree 类,初始化根结点数据项以及指向左右子树的链接。示例如下:
class BinaryTree:
def __init__(self,rootObj):
self.key = rootObj # 成员key保存根结点数据项
self.leftChild = None # 成员leftChild保存指向左子树的引用
self.rightChild = None # 成员rightChild保存指向右子树的引用
当我们插入一个新的左子结点到树中时:
1. 若根结点的左子树为 None ,我们需要创建另一个 BinaryTree 的实例,并修改根结点的self.leftChild使之指向新的树。示例如下:
self.leftChild = BinaryTree(newNode)
1. 若根结点的左子树不为 None,我们将原来根的左子树作为新结点的左子树,并且也修改根结点的self.leftChild使之指向新的树。示例如下:
t = BinaryTree(newNode) # 创建一个BinaryTree类型的新结点t
t.leftChild = self.leftChild
self.leftChild = t
编程要求
请在右侧Begin-End区域中补全代码完成以下任务:
· 参考 BinaryTree 类中的__init__、insertLeft方法,补充insertRight、setRootVal、getRightChild、getLeftChild和getRootVal方法。
测试说明
在按编程要求完成操作后,请点击评测按钮,系统会自动对你的操作进行评测。
当你的结果与预期输出一致时,即为通过。
测试输入:
a,b,c
预期输出:
a
b
c
a
b
hello
输入说明:
后台将接收输入字符串,该字符串中以逗号分隔的字符为创建二叉树的结点。我们对二叉树中的结点按照从上到下、从左到右的顺序编号。根据输入结点a、b、c,按编号顺序创建二叉树,创建的过程如下:
创建结点 a;
将 b 插入到 a 的左子树;
将 c 插入到 a 的右子树。
输出说明:
前三行输出:对创建的二叉树按编号顺序输出结点。
后三行输出:代码最后利用setRootVal方法将根结点的右孩子的值设为 hello。在修改根结点的右孩子的值为 hello 后,对修改后新的二叉树按编号顺序输出结点。
创建的二叉树如下面图4所示:

图4 - 测试案例创建的二叉树