Simulink仿真的运用
一、实验目的
1、熟悉Simulink的操作环境 。
2、掌握建立系统仿真模型以及进行系统仿真的方法。
二、实验内容
1、在MATLAB命令窗口中输入Simulink:
此时在桌面上出现一个称为Simulink Library Browser的窗口,在这个窗口中列出了按功能分类的各种模块的名称。也可以通过MATLAB主窗口的快捷按钮来打开Simulink Library Browser窗口。
2、Simulink模块库按功能进行分为以下8类子库如下:
Continuous(连续模块)、Discrete(离散模块)、Function&Tables(函数和平台模块)、Math(数学模块)、Nonlinear(非线性模块)、Signals&Systems(信号和系统模块)、Sinks(接收器模块)、Sources(输入源模块)。
3、简单模型的建立
建立模型窗口:将功能模块由模块库窗口复制到模型窗口,对模块进行连接,从而构成需要的系统模型。
4、功能模块的基本操作
包括模块的移动、复制、删除、转向、改变大小、模块命名、颜色设定、参数设定、属性设定、模块输入输出信号等。模块库中的模块可以直接用鼠标进行拖曳(选中模块,按住鼠标左键不放)而放到模型窗口中进行处理。在模型窗口中,选中模块,则其4个角会出现黑色标记。此时可以对模块进行以下的基本操作。
移动:选中模块,按住鼠标左键将其拖曳到所需的位置即可。若要脱离线而移动,可按住
shift键,再进行拖曳。
复制:选中模块,然后按住鼠标右键进行拖曳即可复制同样的一个功能模块。
删除:选中模块,按Delete键即可。
转向:为了能够顺序连接功能模块的输入和输出端,功能模块有时需要转向。在菜单Format中选择Flip Block旋转180度,选择Rotate Block顺时针旋转90度。
改变大小:选中模块,对模块出现的4个黑色标记进行拖曳即可。
模块命名:先用鼠标在需要更改的名称上单击一下,然后直接更改即可。
颜色设定: Format菜单中的Foreground Color可以改变模块的前景颜色,Background Color可以改变模块的背景颜色;而模型窗口的颜色可以通过Screen Color来改变。
参数设定:用鼠标双击模块,就可以进入模块的参数设定窗口,从而对模块进行参数设定。
属性设定:选中模块,打开Edit菜单的Block Properties可以对模块进行属性设定。
模块的输入输出信号:模块处理的信号包括标量信号和向量信号;标量信号是一种单一信号,而向量信号为一种复合信号,是多个信号的集合,它对应着系统中几条连线的合成。
5、仿真
构建好一个系统的模型之后,接下来的事情就是运行模型,得出仿真结果。运行一个仿真的完整过程分成三个步骤:设置仿真参数,启动仿真和仿真结果分析。
6、完成以下仿真实验
二阶振荡环节的阶跃响应仿真。

建立如图1所示的仿真模型并仿真,试改变Slider Gain 模型的增益,观察x-y波形的变化。

图1
建立如图2所示非线性控制系统的Simulink模型并仿真,用示波器观测c(t)值,并画出其响应曲线。
图2
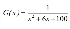
建立如图3所示系统结构的Simulink模型,并用示波器观测其响应曲线。

图3
三、实验设备
1、计算机。
2、MATLAB集成环境。
四、实验方法
1、分析实验内容,建立仿真模型并仿真。
2、运行程序,若有错误,修改错误后再次运行。