
建筑环境与能源应用工程专业
实验指导书
土木工程学院
2024年12月10日
《制冷技术》课程实验指导书
实验一 制冷压缩机性能实验
一、试验目的
1、了解制冷循环系统的组成。
2、测定冷机性能(制冷量、功率等)。
3、分析影响冷机性能的因素。
二、试验原理
1、实验原理:
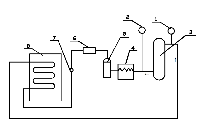
本实验装置采用液体载冷剂循环法来测定制冷量,对中、小型单级压缩机来说采用液体载冷剂循环法来测定制冷量比较简单有效,实际采用较多。如图一所示,由压缩机排出的制冷剂循环蒸汽,进入冷凝器并全部冷凝为液体进入储液器。从储液器出来的制冷剂液体在过冷后,经节流阀与毛细管减速压后进入蒸发器。蒸发器中有液体载冷剂。气化后的制冷剂蒸汽由蒸发器出来,被压缩机吸入,完成制冷循环。
实验系统的载冷剂采用清水。液体制冷剂进入蒸发器的流量,可用手动节流阀调节。供给蒸发器的热量可以过通液体流量计来测读。
2、实验方法:
压缩机排气压力是通过改变冷凝器冷却水量,或冷却水温度来调节的。吸气压力通过供给蒸发器的液体载冷剂的流量或温度来调节,压缩机的吸气温度通过供给蒸发器的制冷剂量来调节。载冷剂离开范发器时的温度应比相应的蒸发温度高5℃以上,载冷剂进出蒸发器的温度为5~8℃。实验时,每隔20~30分钟测定记录一次。直到连续四次载冷剂的进出温度变化≯±0.5℃为止。

三、仪器设备
实验台由封闭式压缩机、冷凝器、蒸发器、储液罐、节流阀、电加热器、冷水泵、热水泵、冷水流量计、热水流量计、排气压力表、吸气压力表、数显功率表、测温显示仪表、测温热偶、供水箱等组成制冷小系统。
四、操作步骤
1、实验装备
熟悉实验指导书,详细了解实验系统各部分的作用,掌握制冷系统的操作规程和制冷工的调节方法熟悉各测试仪表的使用方法。
2、实验操作
(1)将水箱中注满冷水。接通电源后,开启冷水泵和热水泵,检查水泵运转是否正常。启动冷水泵和热水泵,调整冷水流量在160L/h,热水流量在40 L/h。
(2)打开吸气阀、排气阀、储液罐阀门,启动制冷压缩机,开节流阀到1/8至1/4圈,观察排气压力表的排气压力在0.6~1.2MPa,及吸气压力表的吸气压力在0.02~0.3MPa,观察并按动测温按键,右旋调温旋钮,并观察电压表指示,调整电压使蒸发器进口水温稳定在某一温度值,这一温度值宜高于当时当地的环境温度5℃为女好。作为一个实验工况点。
(3)当压缩机运行正常后,各点温度将逐步趋于稳定,这时可依次按下测温表测温按键,观测各温度点温度值。
(4)等各点温度稳定后,将数据进行记录,该工况点实验结束。
(5)改变热水箱加热电压,使热水温度上升,稳定后再对温度、电流、电压等数据进行记录。其它工况点的温差可选择5℃。一般可作3个工况点结束。
(6)记录数据:吸气温度、排气温度、过冷温度、蒸发器和冷凝器进出水温度、压缩机工作电压、电流。
(7)实验完成后,停止电热水箱加热,关闭吸气阀门,等压力继电器动作,压缩机自停,闭压缩机开关,闭紧节流阀,关排气阀,继续让水泵循环5分钟后断电。
五、成果处理
1、取三次读数的平均值作为计算数据
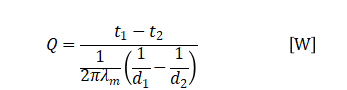
压缩机制冷量:

式中:G — 载冷剂(水)的流量 Kg/s
C — 载冷剂(水)的比热 KJ/ Kg
t1、t2 — 载冷剂(水)的进出蒸发器的温差 ℃
i1 — 在压缩机规定吸气温度,吸气压力下制冷剂蒸汽的比焓 KJ/ Kg
i7 — 在压缩机规定过热温度下,节流阀后液体制剂的比焓 KJ/ Kg
i1″— 在实验条件下,离开蒸发器制冷剂蒸汽的比焓 KJ/ Kg
i6″— 在实验条件下,节流阀前液体制冷剂的比焓 KJ/ Kg
v1 — 压缩机规定吸气温度,吸气压力下制冷剂蒸汽的比容 m³/ Kg
v1′— 压缩机实际吸气温度、压力下制冷剂蒸汽的比容 m³/ Kg
2、压缩机轴功率

式中:W — 压缩机功率
h—压缩机电动机效率,一般取0.8~0.9
3、制冷系数

4、热平衡误差

式中:Q1 — 冷凝器换热量 KW

式中:GL — 冷凝器水的流量 Kg/s
T1、T2 — 冷凝水的进出口温度 ℃。
六、分析讨论
分析实验结果,指出影响冷机性能的因素。
七、注意事项
1、实验台在某些工况点运行时将偏离标准工况点过多,因此不宜长时间运行,否则将造成压缩机损害。
2、在寒冷季节,实验台运行完毕后,应将系统中所有水放净。
《制冷技术》课程实验指导书
实验二 空调制冷换热综合实验
一、试验目的
(1)加深了解制冷压缩机性能的组成。
(2)学习测定制冷压缩机性能的方法。
(3)通过对压缩机运行的实际操作,分析影响压缩机性能的因素。
二、试验原理
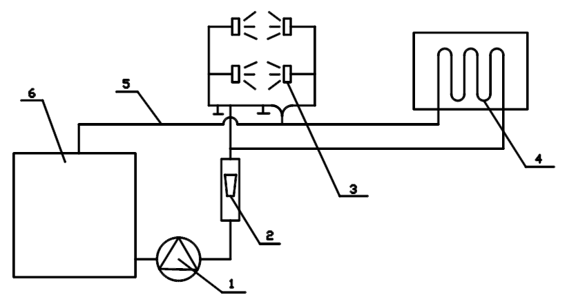
由电热蒸汽发生器、电加热器组成的空气加湿系统,通过该系统可以对空气进行湿处理或热湿处理。
由制冷压缩机、管内通氟里昂的冷凝器(或蒸发器)、管内通氟里昂的蒸发器(或冷凝器)、或由水做载冷剂的水箱构成的蒸发器组成的循环制冷系统,通过该系统可以对空气进行降温或加热(热泵)处理。
由热水加热器及由水做载冷剂的水箱构成的蒸发器,表冷器换热器组成的制冷循环系统,通过该系统可以对空气进行降温或加热处理。
可进行直流式空调过程演示实验和热平衡计算,制冷压缩机性能实验和换热器(表冷器)的阻力等性能实验。

三、仪器设备
空气加湿系统、循环制冷系统、
四、操作步骤
首先熟悉实验装置及工作原理,了解所用仪表的性能和操作方法。
制冷压缩机性能实验(参见制冷压缩机工作流程)
1、实验方法及测量仪表:
(1)测量空气流量,人工采集用笛形管及微压计或U型压差计测量,计算机采集用微形管配微压传感器测量。
(2)空气通过换热器阻力用测静压咀配微压计或U型压差计测量。
(3)水流量用浮子流量计测量。计算机采集用压差传感器测量。
(4)水通过换热器阻力用U型压差计测量。
(5)温度用Pt100热敏电阻配温度显示仪测量,琴键开关转换测点。
(6)压缩机功率、加热功率用电压表和电流表测量。
2、设备安装
(1)为方便运输,本设备分二段组装发运,安装时首先将风机段安装在预先制作基础上,然后再连接两段。
(2)实验室应配备380V、35KW、以上电源及上下水。
(3)连接电源。
(4)将水箱,加湿器充适量水。
3、操作步骤及工况调节
(1)开启阀C,使自来水通过换热器流入下水井。开启水加热器Ⅰ,并利用改变投入功率调节水温。
(2)调节换向阀,使压缩机排气流向空气换热器。
(3)开启阀1、2、3、4、6、关闭5、7、8。
(4)启动风机,利用调节阀(No19)调节风量。
(5)启动压缩机,缓慢打开节流阀Ⅰ。
(6)按指导教师要求调节实验工况:
1)蒸发压力(吸气压力)可通过调节节流阀Ⅰ的开启度进行调节。
2)冷凝压力(排气压力)可通过调节风机风量的大小进行调节。
3)吸气温度可通过调节进入蒸发器的载冷剂(自来水)温度进行调节。
4)载冷剂进出口温差可通过调节载冷剂流量进行调节。
(7)待工况稳定后即可进行测试。为提高测试的准确性,可每隔五分钟读一次数据,取其三次的数据平均值作为测试结果。
(8)改变工况,重复上述实验,如欲绘制性能曲线,工况点应不少于五点。
(9)实验完毕应首先关闭电加热器,然后关闭节流阀Ⅰ,待吸气压力表指“0”时停止压缩机运转,关闭(No19)和阀C。
五、成果处理
(1)压缩机制冷量
当测量吸气温度、吸气压力水做载冷剂时:

式中:Gs — 载冷剂(自来水)流量 [Kg/s]
Cps — 载冷剂(自来水)的定压比热 [Kj/Kg ℃]
t1、t2 — 载冷剂(自来水)的进出口温度 [℃]
i1 — 在压缩机规定的吸气温度,吸气压力下制冷剂蒸汽的比焓 [Kj/Kg]
i7 — 在规定过冷温度下节流阀前液体制冷剂的比焓 [Kj/Kg)
i1″ — 在实验条件下,制冷剂蒸汽离开蒸发器时的比焓 [Kj/Kg]
i7″ — 在实验条件下,节流阀后液体制冷剂的焓值 [Kj/Kg)
V1 — 在规定吸气温度,吸气压力下制冷剂蒸汽的比容 [m³/ Kg]
V1′ — 在实际吸气温度,吸气压力下制冷剂蒸汽的比容 [m³/ Kg]
n1 — 压缩机的额定转速 [r/min]
n2 — 压缩机的实际转速 [r/min]
对直联的小型压缩机n1=n2
(2)压缩机轴功率

式中: I — 电流 [A]
V — 电压 [V]
hh—效率(由指导教师给出,一般为0.9)
3、制冷系数

4、热平衡误差

式中:Q2 — 冷凝器换热量

Gk — 流经冷凝器空气流量 [Kg/s]
Cpk — 空气的定压比热 [Kj/Kg ℃]
t1、t2 — 冷凝器进出口空气温度 [℃]
六、分析讨论
1、分析产生热平衡误差的原因
2、讨论影响制冷压缩机性能因素
3、绘制压缩机性能曲线。
《流体力学》课程实验指导书
实验一 能量方程(伯努利方程)实验
一、试验目的
1、验证流体恒定总流的能量方程;
2、通过对流体力学诸多水力现象的实验分析研究,进一步掌握有压管流体动力学的能量转换特性;
3、掌握流速、流量、压强等要素的实验量测技能。
二、试验原理
在实验管路中沿管内水流方向取n个过水断面。可以列出进口断面(1)至另一断面(i)的能量方程式(I=2,3……,n)

取a1=a2=……an=1,选好基准面,从已设置的各断面的测压管中读出Z+(P/rg)值,测出通过管路的流量,即可计算出断面平均流速V及aV²/2g,从而即可得到各断面测压管水头和总水头。

三、仪器设备
流体力学综合实验台(LTZ-15)
四、操作步骤
1、熟悉实验设备,分清哪些管是静压管,哪些是毕托管测压管,以及两者功能的区别。
2、供水使水箱充满水,待水箱溢流,检查调节阀关闭后所有全压管水面是否齐平。如不平则需查明故障原因(例如连通管受阻、漏气或夹气泡等)并加以排除,直至调平。
3、打开调节阀,观察思考
(1)测压水头线和总水头线的变化趋势;
(2)位置水头,压强水头之间的相互关系;
(3)流量增加或减少时测管水头如何变化?
4、调节阀开度,待流量稳定后,测记各测压管液面读数,同时测记实验流量。
5、改变流量2次,重复上述测量。
五、成果处理
1、记录有关常数
d1=f14mm d2=f26mm
根据以上公式计算某一工况各测点处的轴心速度和平均流速填入表格,可验证出连续性方程。对于不可压缩流体稳定的流动,当流量一定时,管径粗的地方流速小,细的地方流速大。
序号 项目 |
1 |
2 |
3 |
4 |
点速度Vp(m/s) |
|
|
|
|
平均速度V(m/s) |
|
|
|
|
管内径(mm) |
|
|
|
|
(3)观察和计算流体、流径,能量方程实验管对能量损失的情况:在能量方程实验管上布置四组测压管,每组能测出全压和静压,全开阀门,观察总压沿着水流方向的下降情况,说明流体的总势能沿着流体的流动方向是减少的,改变给水阀门的开度,同时计量不同阀门开度下的流量及相应的四组测压管液柱高度,进行记录和计算。
能量方程实验管工况点实验数据记录:
液柱高 序号 |
1 |
2 |
3 |
4 |
流量 m³/S |
全压 |
静压 |
全压 |
静压 |
全压 |
静压 |
全压 |
静压 |
一 |
|
|
|
|
|
|
|
|
|
|
|
|
|
|
|
|
|
|
|
|
|
|
|
|
|
|
|
|
|
|
|
|
|
|
|
|
|
|
|
|
|
|
|
|
|
二 |
|
|
|
|
|
|
|
|
|
|
|
|
|
|
|
|
|
|
|
|
|
|
|
|
|
|
|
|
|
|
|
|
|
|
|
|
|
|
|
|
|
|
|
|
|
能量方程管 中心高 ㎜ |
|
|
|
|
位置 水头 ㎜ |
能量方程管 内径㎜ |
d1=f14 ㎜ |
d1=f26 ㎜ |
|
|
静水 头㎜ |
|
|
|
|
|
六、分析与思考
1、测压管水头线和总水头线的变化趋势有何不同?为什么?
2、流量增加,测压管水头线有何变化?为什么?
《流体力学》课程实验指导书
实验二 毕托管测流速和流量实验
一、试验目的
1、了解毕托管的构造,掌握毕托管测量流速的原理和方法;
2、测定管嘴淹没出流流速计算管嘴淹没出流流速因素。
二、试验原理
可用毕托管测量点流速

式中:V — 毕托管测点处流速
c — 毕托管的修正因数
△h — 毕托管全压水头与静压水头差。
管嘴出流时断面平均流速为:

式中:V — 测点断面的平均流速
Cv — 流速因数
△h — 管嘴的作用水头
认为出流断面速度分布均匀,联立(1)、(2)式得;

三、仪器设备
流体力学综合实验台(LTZ-15)
四、操作步骤
1、熟悉实验装置各部分名称、作用及构造。将毕托管对准管嘴,距离管嘴出口处约2-3㎝,上紧固定螺丝。
2、开启水泵。
3、待上下溢流后,用吸气球放在测压管口部抽吸,排除毕托管及各连通管中的气体,用静水匣;罩住毕托管,检查测压计液面是否齐平,液面不齐平可能是空气没有排尽,重新排气。
4、测记各有关常数,填入实验表格。
5、改变流速操作调节阀,使溢流量适中,共可获得三个不同恒定水位与相应的不同流速记录数据。改变流速后,按上述方法重复测量。
五、成果处理
表2-1记录计算表校正系数C = ,K = ㎝⁰·⁵/s
实验次序 |
上、下游水位差(㎝) |
毕托管水头差(㎝) |
测点流速
 (㎝/s) |
测点流速系数
 |
h1 |
h2 |
△h |
h3 |
h4 |
△h |
|
|
|
|
|
|
|
|
|
|
|
|
|
|
|
|
|
|
|
|
|
|
|
|
|
|
|
|
|
|
|
|
|
|
|
|
|
|
|
|
|
|
|
|
|
|
|
六、分析与思考
1、利用测压管测量点压强时,为什么要排气?怎么检验排净与否?
2、所测的流速因数Cv说明了什么?
3、毕托管的测速范围为0.2-2m/s,流速过小过大都不宜采用,为什么?另外,测速时要求探头对正水流方向(轴向安装偏差不大于10度),试说明其原因。
《流体力学》课程实验指导书
实验三 文丘里流量计和孔板流量计系数的测定实验
一、试验目的
1、掌握文丘里流量计的工作原理和修正系数的测量方法;
2、掌握压差计的使用方法和体积法测流量的实验技能;
3、掌握能量方程和连续性方程的使用原则;
4、学会用孔板流量计测量流量
二、试验原理
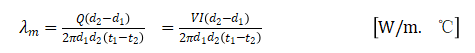
1、文丘里流量计是一种常用的管道流量的测量仪,见图3-1,属压差式流量计。它由“收缩段”、“喉部”、和“扩散段”三部分组成,安装在需要测定流量的管路上。在收缩段进口断面1-1和喉部断面2-2上设测压孔,并接上比压计,通过测量两个断面的测管水头差△h。就可计算管道的理论qv,再经修正得到实际流量qvs。

图1文丘里流量计原理示意图
2、理论流量:不考虑水头损失,速度水头的增加等于测管水头的减小(即比压计液面高差△h)通过测得的△h,建立两断在平均流速V1和V2之间的一个关系:

如果我们假设动能修正系数a1=a2=1,则

另一方面,由恒定总流连续方程有

式中

3、际流量:用量筒测量水的实际流量qvs。
4、流量因数:

(1)流量计流过实际流体时,两断面测管水头差中包括了粘性造成的水头损失,这导致计算出的理论流量偏大。
(2)对于某确定的流量计,流量因数还取决于流动的雷诺数:Re=V2d2/n,但当雷诺数较大(流速较高)时,流量因数基本不变。
5、孔板流量计的原理
流体流过孔板时,孔板前后产生压差,其差值随流量而变,两者之间有确定的关系,因此可通过测量压差来测量流量。结构原理图如下:

式中:μ — 流量系数
△h — 压差计读数(㎜)
A — 空口截面积(㎜²)
μ为流量因素,不同孔板流量计μ值不同;△h为差。

图2 孔板流量计原理示意图
三、仪器设备
流体力学综合实验台(LTZ-15)
四、操作步骤
1、查阅用压差计量测压和用体积法测量流量的原理和方法;
2、对照实物了解仪器设备的使用方法和操作步骤;
3、启动水泵,给水箱充水,并保持溢流状态,使水位稳定;
4、检查下游阀门关闭时,压差计各个测压管水面是否处于同一平面上。如不平,则需排气调平;
5、录断面管径等数据;
6、先从大流量开始实验。开启下游阀门,使压差计上出现最大的值,待水流稳定后,再进行量测,并将数据记录入表中;
7、依次减小流量,待稳定后,重复上述步骤8次以上,并按序记录数据;
8、检查数据记录表是否有缺漏?是否有某组数据明显不合理?若有此情况,进行补测;
9、整理实验结果,得出流量计在各种流量下的△h,qv,qvs和m。
10、对实验结果进行分析讨论。
五、成果处理
有关常数
文丘里管: d2 =f8 ㎜ d1 =f14㎜水温t= ℃
孔板流量计:d2 =f8 ㎜ d1 =f14㎜
表1数据记录
序 号 |
测压管读数(㎝) |
水量 (㎝³) |
测量时间 (s) |
h1 |
h2 |
h3 |
h4 |
1 |
|
|
|
|
|
|
2 |
|
|
|
|
|
|
3 |
|
|
|
|
|
|
4 |
|
|
|
|
|
|
5 |
|
|
|
|
|
|
6 |
|
|
|
|
|
|
7 |
|
|
|
|
|
|
8 |
|
|
|
|
|
|
9 |
|
|
|
|
|
|
表2数据整理
序号 |
qvs(㎝³/s) |
△h (h1-h2+h3-h4) (㎝) |
 (㎝³/S) |


|
1 |
|
|
|
|
2 |
|
|
|
|
3 |
|
|
|
|
4 |
|
|
|
|
5 |
|
|
|
|
6 |
|
|
|
|
7 |
|
|
|
|
8 |
|
|
|
|
9 |
|
|
|
|
六、分析与思考
1、文丘里流量计的实际流量与理论流量为什么会有差别,这种差别是由那些因素造成的?
2、文丘里流量计的流量因数是否与雷诺数有关?通常给出一个固定的流量因数应怎么理解?
3、为什么在实验中要反复强调保持水流稳定的重要性?
《流体力学》课程实验指导书
实验四 沿程阻力实验
一、试验目的
1、学会测定管道沿程水头损失系数λ的方法;
2、掌握圆管层流和紊流的沿程损失随平均流速变化的规律,绘制曲线;
3、掌握管道沿程阻力损失系数的测量方法和气—水压差计及电测压差计测量压差的方法。
4、将实测得到的结果与莫迪图作对比分析。
二、试验原理
1、对于通过直径不变的圆管的恒定水流,沿程水头损失为

其值为上下游量测断面的压差计读数。沿程水头损失也常表达为

其中:λ为沿程水头损失系数;L为上下游量测断面之间的管段长度;d为管道直;V为断面平均流速。若在实验中测得△h和断面平均流速,则可直接得到沿程水头损失系数。
2、不同流动形态的沿程水头损失与断面平均流速的关系是不同的。层流流动中的沿程水头损失与断面平均流速的1次方成正比。紊流流动中的沿程水头损失与断面平均流速的1.75~2.0次方成正比。见图1、图2。

3、沿程水头损失系数λ是相对粗糙度△/d与雷诺数Re的函数,△为管壁的粗糙度,Re=Vd/n(其中n为水的运动粘滞系数)。
对于圆管层流流动
λ=64/Re
对于水力滑管紊流流动可取

可见在层流和紊流光滑管区,沿程水头损失系数λ只取决于雷诺数。
对于水力粗糙管紊流流动

沿程水头损失系数λ完全由粗糙度决定,与雷诺数无关,此时沿程水头损失与断面平均流速的平方成正比,所以紊流粗糙管区通常也叫做“阻力平方区”。
(4)对于在紊流光滑区和紊流粗糙管区之间存在过渡区,沿程水头损失系数λ与雷诺数和粗糙度都有关。
三、仪器设备
流体力学综合实验台(LTZ-15)
四、操作步骤
1、对照装置图和说明,搞清各组成部件的名称、作用及其工作原理;检查蓄水箱水位是否够高。否则予以补水并关闭阀门;记录有关实验常数:工作管内径d和实验管长L。
2、接通电源,启动水泵。打开供水阀。
3、调通量测系统:
(1)启动水泵排除管道中的气体。
(2)关闭出水阀,排除其中的气体。随后,关闭进水阀,开出水阀,使水压计的液面降至标尺零附近。再次开启进水阀并立即关闭出水阀,稍候片刻检查水位是否齐平,如不平则需重调。
(3)气-水压差计水位齐平。
(4)实验装置通水排气后,即可进行实验测量。在进水阀全开的前提下,逐次开大出水阀,每次调节流量时,均需稳定2-3分钟,流量愈小,稳定时间愈长;测流量时间不小于8-10秒;测流量的同时,需测记压差计读数;
(5)结束实验前,关闭出水阀,检查水压计是否指示为零,若均为零,则关闭进水阀,切断电源。否则,表明压力计已进气,需重做实验。
五、成果处理
1、有关常数
d = f14㎜ L=1000 ㎜水温= ℃
2、记录及计算
3、绘图分析
绘制LgV—lghf曲线,并确定指数关系值n的大小。在坐标纸上以LgV为横坐标,以lghf为纵坐标,点绘所测的LgV—lghf关系曲线,根据具体情况连成一段或几段直线。求坐标上直线的斜率

将从图纸上求得n值与已知各流区的n值(即层流n=1,光滑管流区n=1.75,粗糙管紊流区n=2.0,紊流过渡区1.75<n<2.0)进行比较,确定流态区。
表1记录及计算

次序 |
体积 ㎝³ |
时间 s |
流量 qv ㎝³/s |
流速 V ㎝/s |
水温 ℃ |
粘度 υ ㎝²/s |
雷诺数 Re |
差压计 ㎝ |
沿程损失 hf ㎝ |
沿程损失系数 λ |
Re<2320 λ=64/ Re |
1 |
|
|
|
|
|
|
|
|
|
|
|
2 |
|
|
|
|
|
|
|
|
|
|
|
3 |
|
|
|
|
|
|
|
|
|
|
|
4 |
|
|
|
|
|
|
|
|
|
|
|
5 |
|
|
|
|
|
|
|
|
|
|
|
6 |
|
|
|
|
|
|
|
|
|
|
|
7 |
|
|
|
|
|
|
|
|
|
|
|
8 |
|
|
|
|
|
|
|
|
|
|
|
9 |
|
|
|
|
|
|
|
|
|
|
|
10 |
|
|
|
|
|
|
|
|
|
|
|
11 |
|
|
|
|
|
|
|
|
|
|
|
12 |
|
|
|
|
|
|
|
|
|
|
|
13 |
|
|
|
|
|
|
|
|
|
|
|
14 |
|
|
|
|
|
|
|
|
|
|
|
六、分析与思考
1、为什么压差计的水柱差就是沿程水头损失?如果实验管道安装得不水平,是否影响实验结果?
2、本次实验结果与莫迪图吻合与否?分析原因。
3、实验中的误差主要由哪些环节产生?
《流体力学》课程实验指导书
实验五 局部阻力实验
一、试验目的
1、学会利用三点法量测突扩圆管局部阻力损失系数的方法。
2、学会利用四点法量测突缩管路局部阻力损失系数的方法。
3、加深对局部阻力损失的感性认识及对局部阻力损失机理的理解。
二、试验原理
1、有压管道恒定流遇到管道边界局部突变的情况时,流动会分离形成剪切层, 剪切层流动不稳定,引起流动结构的重新调整,并产生旋涡,造成不可逆的能量耗散。与沿程因摩擦造成的分布损失不同,这部分损失可以看成是集中在管道边界的突变处,单位质量流体的能量损失称为局部水头损失,参见图1。
2、局部水头损失系数是局部水头损失与速度水头的比例系数,即

当上下游断面平均流速不同时,应明确它对应的是那个速度水头。例如对于突扩圆管就有

之分。其他情况的局部水头损失系数在查表或使用经验公式确定时也应该注意这一点。通常情况下对应下游的速度水头。
3、局部水头损失的机理复杂,除了突扩圆管的情况以外,一般难于用解析方法确定,而要通过实测来得到各种局部水头损失系数。
对于突扩圆管,在不考虑突扩段沿程阻力损失的前提下,可推导出局部阻力损失因数的表达式

对于突缩圆管,局部阻力损失因数的经验公式:

三、仪器设备
流体力学综合实验台(LTZ-15)
四、操作步骤
1、做好实验前的各项准备工作,记录与实验有关的常数。
2、往恒压水箱中充水,排除实验管道中的滞留气体。待水箱溢流后,检查泄水阀全关时,各测压管液面是否齐平,若不平,则需排气调平。
3、打开泄水阀至最大开度,等流量稳定后,测记测压管读数,同时用体积法测量流量。
4、调整泄水阀不同开度,重复上述过程5次,分别测记测压管读数及流量。
5、实验完成后关闭泄水阀,检查测压管液面是否齐平,如平齐,关闭电源实验结束,否则,需重做。
五、成果处理
d1=f14㎜ d2=f26㎜ d3=f14㎜水温= ℃
次序 |
流 量 ㎝³/s |
测压管读数㎝ |
体积 |
时间 |
流量 |
|
|
|
|
|
|
|
|
|
|
|
|
|
|
|
|
|
|
|
|
|
|
|
|
|
|
|
|
|
|
|
|
|
|
|
|
|
|
|
|
|
|
|
|
|
|
|
|
|
|
|
|
|
|
|
|
实验数据整理表
阻力 形式 |
序 号 |
流量 ㎝³/s |
后断面流速V ㎝/s |
总阻力h ㎝ |
沿程阻力hλ ㎝ |
局部阻力hζ ㎝ |
阻力因素 ζ实 |
阻力因素 ζ计 |
|
|
突 然 扩 大 |
|
|
|
|
|
|
|
|
|
|
|
|
|
|
|
|
|
|
|
|
|
|
|
|
|
|
|
|
|
|
|
|
|
|
|
|
|
|
|
|
突 然 缩 小 |
|
|
|
|
|
|
|
|
|
|
|
|
|
|
|
|
|
|
|
|
|
|
|
|
|
|
|
|
|
|
|
|
|
|
|
|
|
|
|
|
六、分析与思考
1、结合实验成果,分析比较突扩与突缩在相应条件下下的局部损失大小。
2、结合流动仪演示的水力现象,分析局部阻力损失机理何在?产生突扩与突缩局部阻力损失的主要因素是哪些?怎样减小局部阻力损失?
3、将实验测得到的ζ值与理论公式计算值(突扩)与经验公式值(突缩)相比较,并对结果作出分析。
《流体力学》课程实验指导书
实验六 雷诺实验
一、试验目的
1、观察层流、紊流的流态及其转换特征。
2、测定临界雷诺数Reck,掌握圆管流态判别准则。
3、学习古典流体力学中应用无量纲参数进行实验研究的方法,并了解其实用意义。
二、试验原理
1、实际流体的流动会呈现出两种不同的型态:层流、紊流(图1)它们的区别在于:流动过程中流体层之间是否发生掺混现象,在紊流流动中存在随机变化的脉动量,而在层流流动中则没有。

2、圆管中恒定流动的流态转化取决于雷诺数Re = Vd / n,d是圆管直径,V是断面平均流速,n是流体的动力粘滞系数。
3、实际流体的流动之所以会呈现出两种不同的型态是扰动因素与粘性稳定作用之间对比和抗衡的结果。针对圆管中定常流动的情况,容易理解:减小d,减小V,加大n三种途径都是有利于流动稳定的。综合起来看,小雷诺数流动趋于稳定,而大雷诺数流动稳定差,容易发生紊流现象。
4、圆管中定常流动的流态发生转化时对应的雷诺数称为临界雷诺数,又分为上临界雷诺数和下临界雷诺数。上临界雷诺数表示超过此雷诺数的流动力必为紊流,它很不稳定,跨越一个较大的取值范围。有实际意义的是下临界雷诺数,表示低于此雷诺数的流动必为层流,有确定的数值,圆管定常流动的下临界雷诺数取为Recr=2300。
5、对相同流量下圆管层流和紊流流动的断面流速分布作一比较,可以看出层流流速分布呈旋转抛物面,而紊流速度分布则比较均匀呈现对数或指数分布,靠近壁面流速梯度比层流时大,(图2)。

三、仪器设备
流体力学综合实验台(LTZ-15)
四、操作步骤
1、测记本实验的有关常数。
2、观察两种流态。
3、水箱充水至溢流水位,经稳定后,微微开启调节阀,并注入水颜色于实验管内,使颜色水流成一直线。通过颜色水质点的运动观察管内水流的层流流态,然后逐步开大调节阀,由颜色水线的变化来观察层流转变到紊流的水力现象,待管中出现完全紊流后,再逐步关小调节阀,观察由紊流转变为层流的水力现象。
4、测定下临界雷诺数。
(1)将调节阀打开,使管中呈完全紊流,再逐步关小调节阀使流量减小,当流量调节到使颜色水在全管刚好呈现出一稳定直线时,即为下临界状态。
(2)待管中出现临界状态时,用体积法测定流量。
(3)根据所测流量计算下临界雷诺数,并与公认值(2320)比较,偏离过大,需重测。
(4)重新打开调节阀,使其形成完全紊流。按上述步骤重复测量不少于三次;
【注意】a、每调节阀门一次,均需等待稳定几分钟;
b、关小阀门过程中,只许关小,不许开关。
测定上临界雷诺数。
5、逐渐开启调节阀,使管中水流由层流过渡到紊流,颜色水线刚开始散开时,即为上临界状态,测定计算上临界雷诺数1-2次。
五、成果处理
1、记录、计算有关常数:
实验管径d =f14㎜水温t= ℃

2、整理、记录计算表
实验次数 |
颜色水线形态 |
水体积V(m³) |
时间T (s) |
流量Q(cm³/s) |
流速V(cm/s) |
雷诺数Re |
阀门开度增(↑)或减(↓) |
|
|
|
|
|
|
|
|
|
|
|
|
|
|
|
|
|
|
|
|
|
|
|
|
|
|
|
|
|
|
|
|
|
|
|
|
|
|
|
|
|
|
|
|
|
|
|
|
- 实测下临界雷诺数(平均值)Recr= |
【注】颜色水线形态指:稳定直线,稳定略弯曲,直线摆动,直线抖动,断续,完全散开等。
六、分析与思考
1、流态判据为何采用无量纲参数。而不采用临界流速?
2、为何认为上临界雷诺数无实际意义,而采用下临界雷诺数作为层流与紊流的判据?实测下临界雷诺数为多少?
3、分析实验误差的原因。
《流体力学》课程实验指导书
实验七 动量定律实验
一、试验目的
通过测定射流对平板的冲击作用力,验证定常流动的动量方程式。
二、试验原理
1、实验装置
实验装置简图如图所示

如图所示的水平方向射流,其平均速度υ,流量为Q,垂直射向平板。求水流对平板的作用力。
取1-1与2-2过流断面之间的流体为控制体,列出在水平方向(X)的动量方程式:
Fx =rQ(b2u2x-b1u1x)…… (1)
式中:Fx — 平板对水流的作用力。
ρ — 水的密度ρ=1000(㎏/m³);
Q — 流量(m/s³);
b1、b2 —动量修正系数;
u1x —喷嘴出口平均流速在水平方向投影uu1x=u0(m/s);
u2x — 2-2控制面平均流速在水平方向投影u2x=0;
若取动量修正系数b1=b2=1,则(1)式为
Fx = -rQu1x…… (2)
因为,水流对平板的作用力Rx与Fx大小相等,方向相反。因此,平板所受的作用力
Rx = - Fx =rQu…… (3)
求得Rx,对转轴取矩,得计算力矩,
M = RxL1 =rQuL1
式中:L1 — 水流冲击点至转轴的距离;
d — 管嘴的内径;
u—管嘴出口的平均流速。
添加砝码得到实测力矩M0
M0 = G L1
式中:G — 砝码重量;
L2 — 砝码作用点到转轴的距离。。
三、仪器设备
流体力学综合实验台(LTZ-15)
四、操作步骤
1、接通电机电源
2、缓慢开启控制阀门,使水流射向平板,在砝码盘中放入砝码,并调整阀门,使平板处于垂直位置;
3、改变砝码重量,重复步骤(2);
4、用称重法测流量值;
5、依次测得几点流量与力矩值;
6、由测得的力矩值换算成力的值。
五、成果处理
d= 10㎜
d= ㎝ L1= m L2= mm W0= g
NO |
G (g) |
M0=GL2 (kg) |
△W=W-W0 (kg) |
Q (㎝³s) |
u (m/s) |
Rx=ρQu (kg) |
M=Rx·L1 (kg·m) |
1 |
|
|
|
|
|
|
|
2 |
|
|
|
|
|
|
|
3 |
|
|
|
|
|
|
|
《空调工程》课程实验指导书
实验一 中央空调实验
一、试验目的
1、理论联系实际,加深了解制冷循环系统的组成。
2、巩固和强化热力学基本定律。
(1)“能量守恒及转换定律”
(2)“不消耗外功,热量不能自发地从低温物体传向高温物体”
3、加强对焓的熵的认识。
4、加深管道式中央空调系统的温度、湿度、风量等参数的变化规律的认识。
二、试验原理
对供水系统说明书所述要求满足之后,方能具备制冷条件(包括制热)。了解整个系统的各部位的作用及操作步骤。
三、仪器设备
1、媒水的制作系统(即压缩、冷凝、膨胀、蒸发四大过程的循环)
2、管道通风系统,包括:加热、降温、加温、风量变化等。见系统示意图和系统原理图。
四、操作步骤
(1)将操作台面板上压缩机按纽按上,压缩机开始运行。
(2)将冷却塔的两个冷却泵先后打开,冷却系统开始冷却。
(3)压缩机启动的同时,观察电流反应情况,一般在4-6A左右。
(4)观察高低压力的读数,高压力在1Mpa左右,低压应从高处入低处降,从1Mpa左右缓缓地降至0.4Mpa左右。在压力读数下降的过程中,温度仪选择开关依次扫描式按动,其压排气温度较高,约60℃左右,有时甚至于更高(视高压力情况而定),蒸发温度随低压力的下降而下降,最后稳定在7-8℃左右位置,此时低压压力约在3.5公斤/厘米²。
(5)以上的测量每次相隔一定的时间,因为制冷过程的热力循环需要时间。
(6)将几次的测试的平均值作为测试结果。
(7)根据需要可以调节热力膨胀阀的开度。
蒸发器的水箱媒水水温降至5℃左右(可从温度选择开关获得)。。
五、成果处理
将后三次测得的数据的平均值作为计算数据。
1、压缩机制冷量

《空调工程》课程实验指导书
实验二 循环式空调过程实验装置(KTS-01)实验
一、试验目的
循环式空调过程实验装置为《空气调节》课程的教学实验设备,可作集中式空调系统不同循环式——直流式、封闭式和一次回风式的空气调节实验,可以模拟不同季节的室内和室外环境及其空气调节的全过程。实验装置可实现对空气进行加热、加湿、冷却和去湿等处理过程,并能对空气中的各种情况进行观测和研究。
实验装置的特点是其处理段可以为表冷式冷却器或淋水式互换使用,即可用表冷式也可用淋水式对空气进行冷却和去湿或加热。
二、试验原理
1、实验装置的结构如图所示。

1、孔板流量计 2、斜管微压计 3、调节风门 4、孔板流量计 5、斜管微压计 6、挡水整流板 7、加热器 8、蒸发器水箱 9、水转子流量计 10、加热器 11、压缩机 12、储液罐 13、蒸气发生器 14、负压压力表 15、正压压力表 16、水泵 17、加湿器 18、喷淋装置 19、表冷器
实验装置由风管、风机、调节阀门、电加热器、加湿器、表冷式冷却器和淋水式(可互换使用)、制冷机组、循环水泵等组成;并装有测量风量的孔板、微压计,测量各区的热电偶干湿球温度计和测量冷却器进、出水温度的数字显示装置。
通过对调风阀门的调节,可以模拟直流式空调系统(阀门全开)、封闭式(循环式)空调系统(阀门全闭)和一次性回风式空调系统(将阀门打开到任一开度)。装置设有一次性加热和二次加热器(均为电加热器),可以对空气进行加热;设有加湿器,可以对空气进行加湿;设有表冷式冷却器和淋水式,可以对空气进行冷却降温和去湿或加湿等处理。冷冻水由制冷系统制得后再由水泵通过流量计打进表冷器对空气进行冷却。电加热器及电加湿器的电流值都可通过控制面板上的按扭进行测量,其数值可以和被处理的空气热焓变化进行比较。
实验中,可以利用实验装置模拟不同季节的室内、室外空气环境(在非冬季条件下模拟冬季室外环境有困难),并经合理运行调节,然后测试和分析,例如:
模拟夏季实验
夏季的室外空气一般是高温、高湿,空调系统的作用是降温和去湿。在空调装置中,B区为新风(直流式时)、回风(封闭式时),或新风和回风的混合状态(一次回风式时),经过加热、加湿的处理,并通过干湿球温度的测量,调节到设计的(即模拟的)进风参数。C区即为进入空调的参数。空气流经冷却器(表冷式和淋水式)降温去湿或加热后,再经二次加热器加热至所要求参数,最后送到被调房间——E区。
本装置还可做变风量运行调节实验和制冷系统实验测定。
2、主要性能参数:
1、空气流量Lmax= m³/h
2、一次加热器1P1= KW 1P2= KW
3、二次加热器2P1= KW 2P2= KW
4、加湿蒸汽发生器(电热式)SP1= KW SP2= KW SP3= KW
5、冷冻水系统
冷冻水温由制冷系统及仪表控制,可维持在5℃左右,冷冻水流量可调节大小。制冷系统制冷量:Q= KW;
3、制冷剂循环流程图

1、压力表Pe0.1-1.6Mpa 2、压力表Pc0.1-2.5Mpa 3、压缩机 4、冷凝器 5、储液罐 6、滤清器 7、截流阀 8、蒸发器
4、水循环流程图

1、水泵 2、水转子流量计 3、喷淋头 4、热交换器 5、回水管 6、水箱(蒸发器)
三、仪器设备
循环式空调过程实验装置(KTS-01)
四、操作步骤
1、实验操作之前
(1)调整微压计为水平状态;
(2)将蒸汽发生器水箱及冷冻水箱(最好用蒸馏水)充满水,以保证蒸汽发生器及冷冻系统用水。
2、合上电源总开关,接通电源。启动风机,调节适当风量。
3、按所模拟的工况,有选择的启用一、二次电加热器、电加湿器和制冷压缩机及喷淋冷冻水泵,待系统达到要求条件并稳定后进行实验测定。(测温前应在湿球纱布上注水)。
对空气进行冷却处理时,应先启动制冷压缩机,待冷冻水降至所需温度后,再启动冷冻水泵。
4、测试结束后,先关闭电加热器、电加湿器、制冷压缩机及冷冻水泵,调节风门至最大风量,运行5分钟左右,再关闭风机电源开关,切断总电源。
五、成果处理
1、空气流量
系统进风量:

系统总风量:

式中:KA、KE — 孔板流量计流量系数
△PA、△PE — 倾斜式微压计读数差值 [mm]
(微压计工作介质为分析纯乙醇)
ρ— 空气密度[Kg/m³]
2、加湿器加湿量:
△d =(dc-dB)GE [Kg]
式中:dc、dB — 空气含湿量 [g/Kg]
3、表冷式冷却器或淋水式换热量
Q =(ic-iD)GE [W]
式中:ic、iD — 空气焓值[J/Kg]
4、电加热器、电加湿器耗电功率:
N=IV
式中:I、V — 分别为工作电流[A]和工作电压[V]
5、风管散热损失:
Q1 =K1×F1×△t [W]
式中:K1 — 风管的传热系数[W/m²℃]
F1 — 两测温端面之间风管的散热面积[m²]
(即测温端面之间的中心长度×风管周长)
△t — 风管内外的空气温差[℃]
6、电加湿器的散热损失:
Q2 =K2×F2×(100- t) [W]
式中:K2 — 加湿器的传热系数[W/m²℃]
F2 — 散热面积[m²]
t —环境温度[℃]
7、空气湿球温度修正
在以空气湿球温度测定时,需要满足风速≥3.5m/s,如不满足这一测定条件时,应对湿球进行修正。湿球温度修正图可查阅有关资料。
《锅炉与锅炉房设备》课程实验指导书
实验一 工业锅炉演示实验
一、试验目的
1、观察在自然条件下,平行管汽液双相的流动结构。
2、观察平行管在不同热负荷下的流动偏差现象。
3、了解自然循环故障:停滞与倒流的现象。
二、试验原理
自然循环锅炉中的循环动力,是靠上升管与下降管之间的压力差来维持的,它是由锅筒(汽包)、下集箱、下降管和上升管组成。上升管由于受热,工质随温度升高而密度变小;或在一定的受热强度及时间下,上升管会产生部分蒸汽,形成汽水混合物,从而也使上升管工质密度大力降低。这样,不受热的下降管工质密度与上升管工质密度存在一个差值,依靠这个密度产生差产生的压差,上升管的工质向上流动,下降管的工质向下流动进行补足,这便形成的循环回路。只要上升管的受热足以产生密度差,循环便不止。
循环回路是否正常,将影响到锅炉的正常运行。如果是单循环回路(只有一根上升管和下降管),由于上升管上升至汽包的工质将由下降管中完全得到补充,使上升管得到足够的冷却,因而循环是正常的。但锅炉的水冷壁并非由简单的回路各自独立组成,而是由上升管并排组成受热管组,享有共同的汽包、下降管、下集箱。这样组成的自然循环比单循环具有更大的复杂性,各平行管之间的循环相互影响,在各管受热不均匀的情况下,一些管子将出现停滞、倒流现象。
循环停滞是指在受热弱的上升管中,其有效压头不足以克服下降管的阻力,使汽水混合物处于停滞状态,或流动的很慢,此时只有汽泡缓慢上升,在管子弯头等部位容易产生汽泡的积累使管壁得不到足够的水膜来冷却。而导致高温破坏。
循环倒流是指原来工质向上流的上升管,变成了工质自上而下流动的下降管。产生倒流的原因亦是在受热弱的管子中,其有效压头不能克服下降管的阻力所致。如倒流速度足够大,也就是水量较多,则有足够的水来冷却管壁,管子仍能可靠的工作。如倒流速度很小,则蒸汽泡受浮力作用可能处于停滞状态,容易在弯头等处积累,使管壁受不到水的冷却而过热损坏。这二种循环故障都是锅炉运行中应避免的。本实验主要是使学生对此二种循环故障有深刻的了解。
工业锅炉演示模型,亦即锅炉自然水循环实验装置的结构示意图如下图所示。

三、仪器设备
工业锅炉演示模型,亦即锅炉自然水循环实验装置。
装置由自然水循环系统组成,每组系统由七根玻璃制上升管、三根玻璃至下降管、一个上锅筒和一个下集箱所组成。系统安装在支架上;每根上升管都缠有额定功率为500W的加热电热丝。各上升管的加热可以通过相应的电子调压器来调节输入电压,也可以利用加热开关来接通或断开电源,由此可以调节各上升管的加热程度(或停止加热),从而可以演示出上升管和下降管中正常自然水循环系统中的水汽流态、柱状和弹状汽泡的出现,也可以演示自然水循环中的常见的故障;停滞和倒流。
演示时,也可以通过电流检测按钮观察和测定加热电路中的电流大小,从而可以计算出加热电功率。
实验装置的操作面板如图所示。操作面板上的仪表、开关和调压器等符号,以及它们的电路连接可参看电路图,以便理解其具体功能和作用,有助于操作和演示。
四、操作步骤
使用和操作步骤简述如下:
1、使用前,检查上锅筒中的水位,如水位不够,应适量添加。
2、先将各调压器调至零位,检查电路和仪表无异常情况后,将各加热开关置于接通位置。
3、接通三相电源打开总电源开关。
4、将三个调压器调至220V左右,加热约半小时左右,直至系统进入沸腾状态。此时可以从上升管和下降管中观察到正常的自然水循环状态,所有的上升管中的水向上流动,而下降管中的水则向下流动。在沸腾剧烈时,可以看到管中产生柱状和弹状的汽泡状态。
5、为了能够在水循环系统中演示常见的停滞和倒流的故障现象,在上述实验工况下,可采用三种方案来模拟一些上升平行管的受热不均匀情况,从而可能在受热弱的上升管产生并观察到上述故障现象。
三种可行的方案如下,可择其可行者来试验:
(1)选择任一调压器加热电路,联通二根上升管的加热开关,再下调这个调压器电压至30V左右,将会有相应的二根上升管相同的降温,从而可能导致在这些受热弱的上升管中出现故障。
(2)选择任一调压器加热电路,断开二根上升管的加热开关,再下调这个调压器电压至30V左右,会有二根上升管相同的降温,另二根上升管断电停止加热,也可能在这些受热弱的上升管中导致故障出现。
(3)选择任一调压器加热电路,断开其二根上升管的加热开关,但不下调这个调压器电压,就会只有相应的二根上升管断电不加热,也有可能在这二根受热弱的上升管中出现故障。
6、实验结束后,将所有调压器调至零位,并断开总电源。
五、成果处理
(1)锅炉自然水循环基本原理和汽水流动状态。
(2)自然水循环常见故障
数据 管列 |
电压(V) |
电流(A) |
加热时间(t) |
现象 |
上升管 |
|
|
|
|
下降管 |
|
|
|
|
《锅炉与锅炉房设备》课程实验指导书
实验二 直流锅炉工作原理实验
一、试验目的
1、观察直流锅炉的工作情况,加深对直流锅炉的感性认识。
2、测试直流锅炉的水动力特性,了解直流锅炉的水动力不稳定性。
二、试验原理
直流锅炉蒸发受热面中工质的流动不是像自然循环锅炉那样的依靠密度差来推动,而是在泵的压头作用下来完成。图1为直流锅炉的工作原理示意图。给水在给水泵的作用下顺序一次通过加热、蒸发和过热等各个受热面,即随着水沿锅炉的汽水通道流过时,水被加热、蒸发、过热,直至被加热到所要求的温度。

直流锅炉原则上可以在任何压力下工作,但压力越高,水动力特性越稳定,压力越低,水动力特性越不稳定。即使在超临界参数下的直流锅炉,在启动时,也有升压过程,由于压力由低到高,在这过程中水动力特性也是不稳定的。
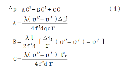
所谓水动力特性,是指在一定的热负荷下,直流锅炉受热面中工质流量G与压降△P之间的关系。图2为简化了的水平布置直流锅炉蒸发受热面,当有流量流过时,在管图进出口之间存在一定的压力降△P,这个压力降由三项组成,即
△P=△P1+△P2+△P1d (1)
式中:△P —— 管圈进出口压差,[Pa]
△P1 —— 重位压差,[Pa]
△P2 —— 加速压降,[Pa]
△P1d —— 流动阻力,[Pa]

对于水平管或螺旋上升式管屏来说,管长相对于高度要大得多,也就是说,△P1d比△P1大得多,因此,△P1可以忽略不计。根据计算,加速压降△P2的值只占总压力降的3.5%,所以也可以略去。这样,式(1)就可简化为:

从式(3)中可看出,△P与G之间的关系是二次曲线,对应于一个压差只存在一个流量,这就是直流锅炉水动力特性的单值性。这种特性只存在于管圈中是单相流体的时候。当管中存在水和蒸汽双相流体时,则水动力特性为三次曲线,对应于一个压差值就有可能有三个不同流量存在,这就是水动力特性的多值性,也就是常说的直流锅炉水动力特性的不稳定性。经理论推导,两管端的压差与流量的关系为:

式中:u″、u′——蒸汽和水和比容;[m³/㎏]
△is —— 进入管圈的水的欠焓;[kj/㎏]
f —— 管子的内截面积;[㎡]
d —— 管子的内直径;[m]
q1 —— 每米管长热负荷;[KW/m]
r —— 汽化潜热欠热;[kj/㎏]
从式(4)或以看出,影响蒸发管水动力特性的主要因素就是蒸汽和水的比容的不同。图3即为水平蒸发管的水动力特性曲线。

对于垂直布置的直流锅炉蒸发管的流动结构如图4所示,影响其水动力特性因素除流动阻力外,还有重位压差存在,重位压差有时可能占主要部分。故;
△P=△P1d+△P2w (5)
式中:△P —— 蒸发管两端压差;[Pa]
△P1d —— 流动阻力;[Pa]
△P2w —— 重位压差;[Pa]

垂直蒸发管的水动力特性曲线如图5所示。图中曲线1为流动力阻力,曲线2为重位压头,曲线3为曲线为1和曲线2之合成,这就是一次垂直上升蒸发管的水动力特性曲线。从图5(a)可以看出,不计重位压降时的水动力特性是单值的,考虑了重位压降后的水动力特性也是单值的。从图5(b)可以看出,不计重位压降的水动力特性是多值的,而考虑了重位压降后的水动力特性有可能消除多值性。总的说来,对于一次垂直上升直流锅炉蒸发管,重位压降对水动力特性的不稳定起到改善的作用。

由于本实验台垂直布置直流锅炉只是一组一次垂直上升的蒸发管组,因此,本指导书只简单的将一次垂直上升蒸发管水动力特性的结论给出,其它形式垂直布置的蒸发管的水动力特性这里不予论述。
本实验台是根据实验教学需要设计制造的,由于考虑到便于观察,管组都采用玻璃管制成,所以只能在常压下工作。众所周知,常压下的直流锅炉,水动力特性是极不稳定的,所以实验台可用作原理性演示和定性测试。
三、仪器设备
本实验台为垂直布置的直流锅炉模型(图6)。水从水箱被水泵抽出,经转子流量计后进入下部的加热管组,再相继流径中部的蒸发管组和上部的过热管组,最后进入冷却器。实验台采用电阻丝加热,上、中、下三组电阻丝分别绕在过热管组、蒸发管组和加热管组上,由控制开关(加热上)和调压变压器(加热中和加热下)来控制各管组的加热热负荷。

四、操作步骤
1、把水箱的水灌至容积的70%左右,然后关紧进水阀。
2、接好冷却器的冷却水回路,冷却水用自来水,下口为进水,上口为出水。凝结水经胶管回入水箱(也可以直接排出,不回水箱)。
3、把加热(中)、加热(下)的调压器调到零位,并把加热(上)开关关上。
4、接好电源电路,然后打开总电源开关及水泵开关,调节流量计开关,使流量在5l/h左右。
5、调节加热(中)和加热(下)的输入电压120V左右,加热(上)一般在过热管组中为蒸汽时投入。在过热管组出口全部喷出蒸汽时并稳定一段时间后,测录下测压管指示数据和流量计流量值。如测压管中的压差不稳定,可取其平均值。逐次调节流量,按上述方法进行测试,直至流量大到上管组出口不能全部蒸汽时为止。
6、在不同热负荷下,重复上述步骤进行测试。
五、成果处理
实验数据可记入下表中,并以流量G为横坐标,压差△P为纵坐标,绘制出水动力特性曲线。
数据记录表:
序号 |
1 |
2 |
3 |
4 |
5 |
6 |
7 |
8 |
9 |
10 |
流量(l/h) |
|
|
|
|
|
|
|
|
|
|
压差(㎜H20) |
|
|
|
|
|
|
|
|
|
|
动力特性曲线:

《供热工程》课程实验指导书
实验一 采暖系统模拟演示装置实验
一、试验目的
使学生了解常见的热水采暖系统形式,掌握系统中各部件的作用及连接方式,巩固课堂所学的知识。
二、试验原理
采暖系统是由热源、管道和散热器所组成。热源是生产热能的部分,管道是连接热源和散热器的桥梁。在图中所示的系统中,由管道将锅炉、水泵和散热器连接起来。系统工作前,先将水充满给水箱,然后打开阀门B和C,同时启动水泵,向系统充水。充水时不断地开关集气罐放气阀,主系统中的空气从集气罐和膨胀水箱中排出。
系统充满水后,关闭阀门B,打开阀门A,在水泵的作用下,水沿供水干管进入散热器,经回水干管返回水泵吸入口,如此不断循环,将热量散到供暖房间。(如下图所示)。

三、仪器设备
采暖系统模拟演示装置(NCN-14)
四、操作步骤
演示装置如图所示。

五、成果处理
1、膨胀水箱有几根连接管,各起什么作用?每根连接管上是否都可以装阀门;
2、本演示中,室内热水采暖系统有几种连接方式?画出各种连接方式的原理图并简述其特点。
《供热工程》课程实验指导书
实验二 NSR-07散热器热工性能实验台实验
一、试验目的
1、通过实验了解散热器热工性能测定方法及低温水散热器热工实验装置的结构;
2、测定散热器的散热量Q,计算分析散热器的散热量与热媒流量G和温差△T的关系。
二、试验原理
1.实验装置简图

1、流量计Ⅰ 2、流量计Ⅱ 3、散热器Ⅰ 4、散热器Ⅱ 5、总电源开关 6、巡检仪 7、温控仪 8、电流表 9、电压表
2.工作及实验原理
水箱内的水由电加热器加热,经循环水泵打入转子流量计并由流量计供给两组不同的散热器,水箱内的水是由温控器控制其温度在某一固定温度点上,经散热器将一部分热量散入房间,降低温度后的回水流入低位水箱。流量计计量出流经每个散热器在温度为tg时的体积流量。
由于实验条件所限,在实验中应尽量减少室内温度波动。
3.实验原理
散热器在稳态条件下散热时,热媒供给的热量等于散热器表面散出的热量。在这种稳定条件下,测量流过散热器的水量和散热器进出口水的温降后,即可求得散热器的散热量。

三、仪器设备
NSR-07散热器热工性能实验台
四、操作步骤
⑴ 系统供水,注意供水的同时要排除系统内的空气。
⑵ 打开泵开关,启动循环水泵,使水正常循环。
⑶ 将温控器调到所需温度(热媒温度),打开电加热器开关,加热系统循环水。
⑷根据散热量的大小调节每个流量计入口处的阀门。使之流量达到一个相对稳定的值,如不稳定则需要找出原因,系统内有气应即时排出,否则实验结果不准确。
⑸ 系统稳定后进行记录并开始测定,当确认散热器供、回水温度和流量基本稳定后,即可进行测定。散热器供水温度于及室内温度均用数显仪直接测量,流量用转子流量计测量。温度和流量均为每10分钟测读一次。

注意事项:
⑴测温点应加入少量机油,以保持温度稳定。
⑵水箱内的电热管应淹没在水面下时,才能打开,本实验台有自控装置,但仍应经常检查。
⑶实验测定完毕应:关闭电加热器开关;停止运行循环水泵;检查水、电等有无异常现象,整理测试仪器。
五、成果处理
1.记录有关常数。 实验装置台号 No.
铝合金散热器每柱散热面积为1.7 /散热量135.4 (散热器厂家提供数据,仅供参考)
铜铝散热器每柱散热面积为1.7 /散热量124 (散热器厂家提供数据,仅供参考)
2.编制实验参数记录、计算表格并填入实验参数、实测数据。
A户 |
散热器 进口水温
(℃) |
散热器 出口水温
(℃) |
室温 t(℃) |
流量 G (Kg/h) |
散热量Q |
进出水 压差 KPa |
(Kj/h) |
(W) |
1 |
|
|
|
|
|
|
|
2 |
|
|
|
|
|
|
|
3 |
|
|
|
|
|
|
|
B户 |
散热器 进口水温
(℃) |
散热器 出口水温
(℃) |
室温 t(℃) |
流量 G (Kg/h) |
散热量Q |
进出水 压差 KPa |
(Kj/h) |
(W) |
1 |
|
|
|
|
|
|
|
2 |
|
|
|
|
|
|
|
3 |
|
|
|
|
|
|
|
数据处理:
散热器的散热量

式中a——曲线的截距
B——回归系数(斜率)
六、分析与讨论
1.散热器的散热量与哪些因素有关?本次实验限定了哪些因素?
2.若再想求得传热系数和金属热强度,还需测哪些数据?
3.如果要测定

4.所测散热器散热量和实验标准流量是多少?你认为散热器的热工作性能如何?
《工程热力学》课程实验指导书
实验一 RQB-09气体(空气)定压比热测定仪实验
一、试验目的
1、了解气体比热容测定装置的基本原理;
2、掌握本实验中的测试方法;
3、掌握由实验原始数据,按照比热容公式计算出比热容值的方法;
4、分析本实验产生误差的原因及可能改进的措施。
二、试验原理
本实验采用定流法测定空气的平均定压比热容,即让气体流过量热器时被加热,由量热器测定气体的吸热量。测试中涉及温度、压力、热量、流量等基本量的测量。计算中用到比热及混合气体(湿空气)方面的基本知识。
气体定压比热容定义为

三、仪器设备
测定空气定压比热容的实验装置如图2-1所示。风机将一定量的空气连续不断地经湿式流量计送入比热仪本体,比热仪中设有电加热器,空气经加热后又由比热仪内排出。

比热仪本体如图2-2所示。它是由内外壁镀银的真空杜瓦瓶1、电加热器2、均流网3、绝缘垫4、施流片5、混流网6等组成。当比热仪出口温度 稳定时,则可认为电加热器放出的热量全部被流经的气体吸收。电加热器放热量的大小由直流稳压电源进行调节,功率由功率表进行测量w。比热仪的进出口分别设有温度计与高精度测温传感器,以测量进口温度 和出口温度 。空气的流量由湿式流量计进行测量。进入比热仪气流的压力则由流量计出口U型差压计进行测量。空气量则由节流阀进行调整。

四、操作步骤
序号 |
参数 |
公式及符号 |
单位 |
工况 |
1 |
2 |
3 |
1 |
加热器电压 |
U |
V |
|
|
|
2 |
加热器电流 |
I |
A |
|
|
|
3 |
大气压力 |
 |
 |
|
|
|
4 |
流量计中气体压力 |
 |
mmH2O |
|
|
|
5 |
流量计出口温度 |
 |
℃ |
|
|
|
6 |
比热仪气流流过10公升的时间 |
 |
S |
|
|
|
7 |
比热仪气流入口温度 |
 |
℃ |
|
|
|
8 |
比热仪气流出口温度 |
 |
℃ |
|
|
|
1、经辅导教师指导接好加热电路和空气流通管路。
2、经辅导教师检查后,将调加热调节旋钮调制在零位,打开风机开关,调整节流阀开度,使空气流量达规定值附近。
3、装上湿式流量计上的温度计和U型差压计。
4、调整加热器的功率(电压值和电流值),开始进行加热。
5、待比热仪出口温度 稳定不变后(出口温度在6min之内无变化或有微小起伏即可视为稳定),记录此工况下的实验数据。
6、改变加热器电压(即工况变化)待 再次稳定时,记录另一工况下的实验数据。
7、比热仪出口温度 最高为300℃。即可测300℃以下的气体定压比热。【注:实验时禁止超过300℃否则会损坏杜瓦瓶】
8、实验完结,先将加热功率下降至零(即断开加热器电源),让风机继续运行10~15分钟,待比热仪温度降低后再停止风机运行。
五、成果处理
1、当系统达到稳定工况时,电加热器放出的热量可认为基本被空气所吸收,即气体在等压流动过程中的吸热量为:


4、列表表示平均比热容与温度的关系。
5、用作图法确定(2-4)式中的常数和值,其计算方程式则表示空气平均定压比热与温度的关系。作图法是以为
横坐标,
为纵坐标,则可根据不同温度范围内的平均比热确定截距
,从而得到比热随温度的变化的计算式。

注意事项:
1、切勿在无气流通过的情况下使电加热器投入工作,以免引起局部过热而损坏比热仪本体。
2、输入电加热器的电压不得超过220 ,气体出口最高气温 ≤300℃。
3、加热和冷却要缓慢进行,防止温度计和比热仪本体因温变过快而断裂。
4、停止实验时,应先切断电热器,让风机继续运行十五分钟左右(温度较低时可适当缩短)。
《工程热力学》课程实验指导书
实验二 RYT-14二氧化碳P-V-t关系仪(标准型)实验
一、试验目的
1.了解CO2临界状态的观测方法,增加对临界状态概念的感性认识。
2.加深对课堂所讲的工质热力状态、凝结、汽化、饱和状态等基本概念的理解。
3.掌握CO2的P-V-t关系的测定方法,学会用实验测定实际气体状态变化规律的方法和技巧。
4.学会活塞式压力计,恒温水浴等热工仪器的正确使用方法。
二、试验原理
1.实验装置简图
整个实验装置由压力计、恒温水槽和试验台本体及其防护罩等三大部分组成(如图一所示)。

1—高压容器 2—玻璃杯 3—压力油 4—水银 5—密封填料 6—填料压盖 7—恒温水套 8—承压玻璃管 9—CO2空间
2.工作原理
对简单可压缩热力系统,当工质处于平衡状态时,其状态参数P、V、t之间有:

本试验是根据式(1),采用定温方法来测定CO2的P—V之间的关系,从而找出CO2的P-V-t关系。
实验中,由压力计送来的压力油进入高压容器和玻璃杯上半部,迫使水银进入预先装了CO2气体的承压玻璃管,CO2被压缩,其压力和容积通过压力计上的活塞杆的进、退来调节。温度由恒温水浴供给的水套里的水温来调节。
实验工质二氧化碳的压力,由装在压力计上的压力表读出(如要提高精度,可由加在活塞转盘上的平衡砝码读出,并考虑水银柱高度的修正)。温度由插在恒温水套中的热电偶测定。比容首先由承压玻璃管内二氧化碳柱的高度来测量,而后再根据承压玻璃管内径均匀、截面不变等条件换算得出。
3.实验原理
3.1测定CO2的P-V-t关系。在P-V坐标系中绘出低于临界温度(t=20℃)、临界温度(t=31.1℃)和高于临界温度(t=50℃)的三条等温曲线,并与标准实验曲线及理论计算值相比较,并分析其差异原因。
3.2测定CO2在低于临界温度时(t=25℃、27℃)饱和温度和饱和压力之间的对应关系,并与图四中的ts—Rs曲线比较。
3.3观测临界状态。
3.3.1临界状态附近汽液两相模糊的现象。
3.3.2汽液整体相变现象。
3.3.3测定CO2的tc、Rc、vc等临界参数,并将实验所得的vc值与理想气体状态方程和范德瓦尔方程的理论值相比较,简述其差异原因。
三、仪器设备
RYT-14二氧化碳P-V-t关系仪(标准型)
四、操作步骤
⑴按图一检查实验设备,并开启实验设备本体上的日光灯。
⑵恒温水浴准备及温度调定。(注:恒温水浴分为常温加热调节水浴和制冷制热调节水浴,带制冷功能的恒温水浴需启动制冷机组,调定温度并使工况稳定)
①将蒸馏水注入恒温水浴锅内,注至离盖30~50㎜。检查并接通电路。开动电动泵,使水循环对流。
②视水温情况,开、关加热器,当水温未达到调定的温度时。恒温器指示灯是亮的,当指示灯时亮时灭闪动时,说明温度已达到所需恒温。
③观察玻璃水套上的温度计,若其读数与恒温器上的温度计及电接点温度计标定的温度一致时(或基本一致),则可(近似)认为承压玻璃管内的CO2的温度处于所标定的温度。
④当需要改变试验温度时,重复(2)~(4)即可。
⑶加压前的准备。
因为压力计的油缸容量比主容器容量小,需要多次从油杯里抽油,再向主容器充油,才能在压力表上显示压力读数。压力计抽油、充油的操作过程非常重要,若操作失误,不但加不上压力,还会损坏试验设备。所以,务必认真掌握,其步骤如下:
①关压力表及其进入本体油路的两个阀门,开启压力计上油杯的进油阀。
②摇退压力计上的活塞螺杆,直至螺杆全部退出。这时,压力计油缸中抽满了油。
③先关闭油杯阀门,然后开启压力表和进入本体油路的两个阀门。
④摇进活塞螺杆,使本体充油。如此交复,直至压力表上有压力读数为止。
⑤再次检查油杯阀门是否关好,压力表及本体油路阀门是否开启。若均已调定后,即可进行实验。
⑷做好实验的原始记录
①设备数据记录
仪器、仪表名称、型号、规格、量程、精度。
②常规数据记录:
室温、大气压、实验环境情况等。
③测定承压玻璃管内CO2的质面比常数K值。
由于充进承压玻璃管内的CO2质量不便测量,而玻璃管内径或截面积(A)又不易测准,因而实验中采用间接办法来确定CO2的比容,认为CO2的比容V与其高度是一种线性关系。具有如下方法:
a.已知CO2液体在20℃,9.8 Mpa时的比容V(20℃,9.8 Mpa)=0.00117 m³/Kg
b.实际测定试验台在20℃,9.8 Mpa时的CO2液柱高度△ho(m)。(注意玻璃水套上刻度的标记方法)

式中:△h=h-ho
h—任意温度、压力下水银柱高度
ho—承压玻璃管内径顶端刻度
⑸测定低于临界温度t=20℃时的定温线
①将恒温器调定在t=20℃,并保持恒温。
②压力从4.41Mpa开始,当玻璃管内水银升起来后,应足够缓慢地摇进活塞螺杆,以保证定温条件。否则,将来不及平衡,使读数不准。
③按照适当的压力间隔取h值,直至压力R=9.8Mpa.
④注意加压后CO2的变化,特别是注意饱和压力和饱和温度之间的对应关系以及液化、汽化等现象。要将测得的实验数据及观察到的现象一并填入表1。
⑤测定t=25℃,t=27℃时其饱和温度和饱和压力的对应关系。
⑹测定临界等温线和临界参数,并观察临界现象。
①按上述方法和步骤测出临界等温线,并在该曲线的拐点处找出临界压力Pc和临界比容Vc,并将数据填入表1。
②观察临界现象
a.整体相变现象
由于在临界点时,汽化潜热等于零,饱和汽线和饱和液线合于一点,所以这时汽液的相互转变不是象临界温度以下时那样逐渐积累,需要一定的时间,表现为渐变过程,而这时当压力稍在变化时,汽、液是以突变的形式相互转化。
b.汽、液两相模糊不清现象
处于临界点的CO2具有共同参数(P,V,t)因而不能区别此时CO2是气态还是液态。如果说它是气体,那么,这个气体是接近液态的气体;如果说它是液体,那么,这个液体又是接近气态的液体。下面,就来用实验证明这个结论。因为这时是处于临界温度下,如果按等温线过程来进行,使CO2压缩或膨胀,那么,管内是什么也看不到的。现在,我们按绝热过程来进行。首先在压力等于7.64Mpa附近,突然降压,CO2状态点由等温线沿绝热线降到液区,管内CO2出现了明显的液面。这就是说,如果这时管内的CO2是气体的话,那么,这种气体离液区很接近,可以说是接近液态的气体;当我们在膨胀之后,突然压缩CO2时,这个液面又立即消失了。这就告诉我们,这时CO2液体离气区也是非常接近的,可以说是接近气态的液体。既然,此时的CO2既接近气态,又接近液态,所以能处于临界点附近。可以这样说:临界状态究竟如何,就是饱和汽、液分不清。这就是临界点附近,饱和汽、液模糊不清的现象。
⑺测定高于临界温度t=50℃时的等温线。将数据填入原始记录表1。
注意事项:
⑴设备水套管内的主容器管在压力不均匀、超压时易碎,内部汞会溢出,如出现相关情况需停止实验,保持设备不动并通知维修。
⑵实验前应检查设备密封性。
⑶轻微渗油不影响当次实验,但应及时报修。
五、成果处理
1.记录有关常数。 实验装置台号 No.
室温: 大气压:
2.编制实验参数记录、计算表格并填入实验参数、实测数据。
CO2等温实验原始记录
|
t=20℃ |
t=31.1℃(临界) |
t=50℃ |
1次 |
2次 |
3次 |
1次 |
2次 |
3次 |
1次 |
2次 |
3次 |
P(Mpa) |
|
|
|
|
|
|
|
|
|
△h |
|
|
|
|
|
|
|
|
|
V=△h/K |
|
|
|
|
|
|
|
|
|
现象 |
|
|
|
|
|
|
|
|
|
2.1按表1的数据,如图二在P—V坐标系中画出三条等温线。
2.2将实验测得的等温线与图二所示的标准等温线比较,并分析它们之间的差异及其原因。
2.3将实验测得的饱和温度与饱和压力的对应值与图三绘出的ts—Ps曲线相比较。


2.4将实验测定的临界比容Vc与理论计算值一并填入表2,并分析它们之间的差异及其原因。
表2 临界比容Vc[m³/Kg]
标准值 |
实验值 |
Vc=RTc/Pc |
Vc=3/8 |
RT/Pc |
0.00216 |
|
|
|
|
《传热学》课程实验指导书
实验一 自由对流横管管外放热系数测试装置(RZY-02)实验
一、试验目的
1、了解空气沿管表面自由放热的实验方法,巩固课堂上学过的知识;
2、测定单管的自由运动放热系数α;
3、根据对自由运动放热的相似分析,整理出准则方程式。
二、试验原理
对铜管进行电加热,热量应是以对流和辐射两种方式来散发的,所以对流换热量为总热量与辐射热换量之差,即:

式中:Qr — 辐射换热量;
Qe — 对流换热量;
ε — 试管表面黑度;
C e — 黑体的辐射系数;
tω — 管壁平均温度;
tƒ — 室内空气温度;
α — 自由运动放热系数;
根据相似理论,对于自由放热,努谢尔特数Nu葛拉晓夫数Gr、普朗特数Pr的函数,即:Nu=f(Gr×pr)右可表示成

其中c、n是通过实验所确定的常数。为了确定上述关系式的具体形式,根据所测得数据计算结果求得准则数:

Pr、β、λ、ν物性参数由定性温度从教科书中查出。
改变加热量,可求得一组准则数,把几组数据标在对数坐标纸上得到以Nu为纵坐标,以Gr、Pr为横坐标的一系列点,画一条直线,使大多数点落在这条直线上或周围,根据:
IgNu=Igc-nIg(Gr×Pr)这条直线的斜率即为n,截距为c。
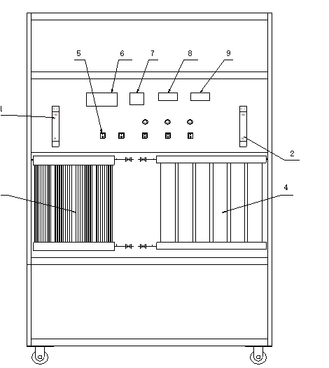
实验装置有实验管(四种类型),支架、测量仪表电控箱等组成。(见简图)

实验管上有热电偶嵌入管壁,可反映出管壁的温度,由安装在电控箱上的测温数显表通过转换开关读取温度值。电加热功率则可用数显电压表、电流表测定读取并加以计算得出。

三、仪器设备
自由对流横管管外放热系数测试装置(RZY-02)
四、操作步骤
1.正确连接好线路,经指导老师检查后接通电源;
2.按动控制箱上控制开关,选择任一直径的实验管进行加热,调整好调压器,将管壁温度控制在100℃左右。如下:Φ20实验管调压至40V左右,稳定2小时左右,温度上下浮动2℃左右,认为实验工况稳定。Φ40实验管调压至60V左右,稳定2小时左右,温度上下浮动2℃左右,认为实验工况稳定。Φ60实验管调压至100V左右,稳定2小时左右,温度上下浮动2℃左右,认为实验工况稳定。Φ80实验管调压至150V左右,稳定2小时左右,温度上下浮动2℃左右,认为实验工况稳定。以上仅供参考,可根据环境温度适当调整。
3.间隔半小时再记一次,直到两组数据接近为止;
4.记下数据;
5.取两组接近的数据取平均值,作为计算数据;
6.记下半导体温度计(用户自备)指示的空气温度或用玻璃温度计(用户自备);
7.经指导教师同意,将调压器调整回零位,切段电源。
五、成果处理
1.已知数据;
管径d =80mm d=60mm d=40mm d=20mm
管长L=1600mm L=1400mm L=1000mm L=800mm
黑度ε=0.11 ε=ε=ε=0.15
2.测试数据:管壁温度T1T2……Tn室内空气温度tf、电流I、电压V。
3.整理数据;
根据温度T,计算加热的热量Q=I×V[W]
α、求对流放热系数:

b、查出物性参数:
定性温度取空气边界层平均数温度tm=1/2(tƒ+tw),在教科书的附录中查得空气的估热系数λ、热膨胀系数β、运动粘度υ、导温系数a和普朗特数Pr。
c、用标准公式计算对流换热系数αˊ

d、以班组为单位整理准则方程,把求得的有关数据待入准则可得准则式,把对应的数坐标在纸上,几组数据可标得一条直线,求出

将上列数据计入下表中后,即可进行数据处理。
表1 数据记录表
日期 |
|
室温 |
|
仪器型号 |
|
 |
1 (mv) |
2 (mv) |
3 (mv) |
4 (mv) |
平均 值 (mv) |
壁 温 (℃) |
管 长 (m) |
表面黑度 |
管 径 (m) |
功 率 (W) |
黑体辐射系数 |
1 |
|
|
|
|
|
|
|
|
|
|
|
2 |
|
|
|
|
|
|
|
|
|
|
|
3 |
|
|
|
|
|
|
|
|
|
|
|
4 |
|
|
|
|
|
|
|
|
|
|
|
表2 数据处理表


图2 双对数坐标纸上用作图法求C、n的方法示意图


《传热学》课程实验指导书
实验二 RQT-19球体法测定绝热材料导热系数实验仪实验
一、试验目的
1. 巩固稳定导热的基本理论,学习用圆球法测定疏散物质的导热系数实验方法和测试技能。
2.实际测定被试材料的导热系数lm。
3.绘制出材料的导热系数lm与温度t的关系曲线。
二、试验原理
1.工作原理
球体法实验装置的整个测试系统包括:圆球本体装置、直流稳压电源、数显功率表及数显测温装置等。
圆球内球中电加热器由高精度晶体管直流稳压电源供电。功率W的测量用直流稳压电源加热,功率由直流功率表直接测出;温度测量,在内外球壁分别埋有镍铬—镍硅热电偶,用智能温度表测出内球t1及外球t2、t3、t4的平均温度。
2.实验原理
圆球法测定物质的导热系数,就是应用沿球壁半径方向三向度稳定导热的基本原理来进行对颗粒状及粉末状材料导热系数的实验测定。
导热系数是一个表征物质导热能力大小的物理量,对于不同物质,导热系数是不相同的,对于同一物质,导热系数会随着物质的温度、压力、物质的结构和重度等有关因素而变异。各种不同物质导热系数都是用实验方法来测定的:几何形状不同的物质可采用不同的实验方法,圆球法是用来测定疏散物质导热系数的实验方法之一。
圆球法是在两个同心圆球所组成的夹层中放入颗粒状及粉末状试材,内球为热球,直径为d1,表面温度为t1,外球(球壳)为冷球,直径为d2,壁面温度为t2,根据稳态导热的付立叶定律,通过夹层试材的导热量为:

在实验过程中,测定出Q、t1和t2、就可以根据上式计算出材料的导热系数:

改变加热量Q,就可以改变壁面温度t1和t2,也就可以测出不同温度下试材的导热系数,这样就可以在l-t座标中测出一条l-t的关系曲线,根据这条曲线即可以求出来l=f(t)的关系式。

三、仪器设备
空两格,内容宋体小四
四、操作步骤
⑴ 将待测材料进行烘干;
⑵ 检查内外球体和球壳的热电偶是否良好。
⑶ 将烘干的待测材料加入圆球体的夹层中,使其均匀分散。
⑷接通电源,并检查线路和整个系统,调整好仪表读数。
⑸当各项数据稳定时,开始测量并记录,每隔5分种测一次,共测三次。
⑹整理数据,选择一次测量的数据代信公式计算,由于热系统的稳定时间较长,应在实验前做好准备工作,在另一套设备上进行,并利用智能温度表观察其升温过程。
注意事项:
⑴测试过程中,热球温度不能大于80℃。
⑵使用仪器仪表要严格遵守操作规程。
⑶实验过程中,球体外罩需移开。
五、成果处理
1.记录有关常数。 实验装置台号 No.
2.编制实验参数记录、计算表格并填入实验参数、实测数据。
2.1实验过程中的原始记录数据可填写在建议的表格中
实 验 记 录 表
记录时间 (时分) |
Q |
t1 (mv) |
t2 (mv) |
t1- t2(mv) |
lm (w/m.℃) |
附 注 |
V(v) |
I(A) |
|
|
|
|
|
|
|
d1= ㎜ d2= ㎜ |
|
|
|
|
|
|
|
|
|
|
|
|
|
|
|
|
|
|
|
|
|
|
|
|
|
|
|
|
|
|
|
|
|
|
|
|
|
|
|
|
|
|
|
|
|
|
|
|
|
|
|
|
|
|
|
|
|
|
|
|
|
|
|
|
|
|
|
|
|
|
|
|
|
|
|
|
|
|
|
|
|
|
|
|
|
|
|
|
|
|
|
|
|
2.2导热系数计算:

将在不同温度时测得的试材导热系数值记入记录表中。
2.3在座标纸上绘出试材的导热系数lm和温度t关系曲线,并求出lm= f(t)的关系式。
《测量学》课程实验指导书
实验一 普通水准测量实验
一、试验目的
1、熟练了解自动安平水准仪各部件名称和使用方法。
2、练习水准路线的选点、布置。
3、掌据普通水准测量路线的观测、记录。 计算检核以及集体配合、协调作业的施测过程。
4、掌握水准测量闭合路线成果检核及数据处理方法。
5、学会独完成一条闭合水准测量路线的实际作业过程。
二、试验原理
水准测量是利用水准仪提供的水平视线,通过观测水准标尺上的读数,计算地面两点间的高差,从而推算出未知点的高程。

三、仪器设备
自动安平水准仪1台、脚架1个、双面板尺一套(2个)、尺垫2个、术桩4-5个、 斧头1把、记录板1块,铅笔、计算器。
四、操作步骤
1、在测站打开三脚架,按观测者的身高调节三脚架腿的高度。为便踩实,使脚架稳定。然后从仪器箱中取出水准仪,平稳地安放在三脚架头上,一手握住仪器,一手立即将三脚架连接螺旋旋入仪器基座的中心螺孔内,适度旋紧,防止仪器从架头上掉下来。
2.粗略整平(粗平):粗平即初步地整平仪器,通过调节三个脚螺旋使圆水准器气泡居中,从而使仪器的竖轴大致铅垂。具体作法是:如图(a)所示,外围三个圆圈为脚螺旋,中间为圆水准器,虚线圆圈代表气泡所在位置。首先
用双手按箭头所指方向转动脚螺旋1、2,使圆气泡移到这两个脚螺旋连线方向的中间,然后再按图(b)中箭头所指方向,用左手转动脚螺旋3,使圆气泡居中(即位于小黑圆圈中央)。在整平的过程中,气泡移动的方向与左手大拇指转动脚螺旋时的移动方向一致。 .

圆水准器整平图后瞄准水准尺与读数,瞄准水准尺首先将望远镜对着明亮的背景(如天空或白色明亮物体),转动目镜对光螺旋,使望远镜内的十字丝像十分清晰(此后瞄准目标时一般不需要再调节目镜对光螺旋)。然后松开制动螺旋,转动望远镜,用望远镜上方的粗瞄准瞄准水准尺,大致进行物镜对光并在望远镜内看到水准尺像。此时立即制紧制动螺旋,转动水平微动螺旋,此时视线即为水平视线。
3. 读数:仪器精平后,应立即用十字丝的中丝在水准尺上读数。观测者应先读出米、分米及厘米值,再估读水准尺上毫米数(小于一格的估值),一般应读出四位数。如图中水准尺的中丝读数为1.259m,其中末位9是估读的毫米数,可读记为1259,单位为mm。读数应迅速、果断、准确。读数后应立即重新检视符合水准气泡是否仍旧居中,如仍居中,则读数有效;否则应重新使符合水准气泡居中后再读数。。
五、成果处理
1.检查数据完整性:仔细核对数据是否完整,是否存在漏记、错记的情况。
2.数据录入:将测量数据规范地录入表格中,确保数据准确无误。
3.数据分类:将数据按照不同的观测点进行分类,方便后续计算。
4.根据观测数据和水准尺读数,利用公式“后视读数-前视读数”计算出各测站间的高差。
5.检查高差闭合差:将各测站间的高差累加,得到闭合差,并根据允许误差判断测量精度。如果闭合差超过允许误差,则需要将闭合差按比例分配到各测站间的高差上。
6.确定已知点高程:选择一个已知高程点作为基准点,记录其高程。
7.计算各测点的待定高程:利用基准点高程和各测站间的高差,依次推算
出各测点的待定高程。
8.检查高程闭合差:将各测点的待定高程累加(或根据已知终点的高程进行
检验),得到闭合差(或检验闭合差),并根据允许误差判断测量精度。
9记录各测点的高程:将计算得到的各测点高程准确地记录在表格中。
10.标注测量精度:将测量精度(如闭合差、允许误差等)标注在表格中,
方便后期查看和分析。
11.整理计算过程:将计算过程整理成文档或报告形式,包括数据整理、高
差计算、高程计算等步骤的详细说明和计算结果。
六、注意事项
1.仪器校准:在实验开始前,必须对水准仪进行校准,确保仪器视准轴平行于水准管轴,以及水准尺的零点准确。检查水准仪是否准确、水准管是否完好,以及其他必要的设备是否正常。
2.环境条件:选择适宜的测量环境,避免在风大、雨雪、暴晒等恶劣天气条件下进行测量。确保测量地点平稳,无振动干扰,以保证测量精度。
3.基准点选择:基准点应稳固、平整,不易受外力干扰。在实验中,应选择合适的基准点作为测量起点,以确保测量的准确性和可靠性。
4.观测方法:在测量时,要采用正确的观测方法。例如,保持仪器水平,避免偏差;瞄准目标时,要消除视差;读数时,要估读到最小分度值,并记录完整数据。同时,应反复测量同一点,取平均值以减小误差。
5.数据处理:测量结束后,要对数据进行仔细处理和分析。检查数据是否完整、准确,然后进行高差和高程的计算。在计算过程中,要注意单位换算和精度保留。最后,对计算结果进行校核和修正,以消除可能存在的误差。
6.安全注意:在进行水准测量作业时,要注意自身安全。遵守相关规定,佩戴必要的安全装备,避免发生意外伤害。同时,要妥善保管测量仪器和设备,防止损坏或丢失。
7.记录整洁:实验记录应整洁、清楚,方便后续查看和分析。记录内容包括测量日期、地点、仪器型号、观测数据、计算结果等。
七、实验报告要求
1.实验数据:整理并列出实验过程中观测到的所有数据,包括后视读数、前视读数、高差、高程等。数据应准确无误,并注明单位。
2.计算结果:根据实验数据,计算出各测点的高程,并标注测量精度。同时,对计算结果进行校核和修正,以确保其准确性。
3.误差分析:分析实验中可能存在的误差来源,如仪器误差、观测误差、外界条件影响等。并评估这些误差对测量结果的影响程度。
4.实验结论:总结实验结果,得出实验结论。阐述水准测量的重要性和应用价值,以及实验中遇到的问题和解决方法。
《测量学》课程实验指导书
实验二 电子经纬仪的构造认识及测回法观测水平角实验
一、试验目的
1.熟悉电子经纬仪的基本构造和各部件功能。
2.掌握型电子经纬仪的正确开机、关机及操作流程。
3.通过实际操作,加深对电子经纬仪测量原理的理解,为后续实验和工程测量打下基础。
4.进一步掌握经纬仪的技术操作,重点掌握观测程序和计算方法。要求每人观测1-2个角,计算出半测回值较差或一测回较差不超过士40”,角度闭合差fβ≤fβ容=士60”。
二、试验原理
水平角是指地面上一点到两个目标点的方向线垂直投影到水平面上的夹角,或者是过两条方向线的竖直面所夹的两面角。电子经纬仪通过其内部的水平度盘来测量这一夹角。当望远镜瞄准目标点时,水平度盘上的读数就代表了该方向线的水平角。通过读取不同目标点的水平角读数,可以计算出它们之间的夹角,即水平角。
1.望远镜:用于瞄准目标,具有放大功能和高分辨率。
2.水平度盘:用于测量水平角,采用绝对编码方式,确保测量精度。
3.竖直度盘:用于测量竖直角,同样采用绝对编码方式。
4.基座:用于支撑经纬仪,通过连接螺旋与三脚架固定。
5.显示屏:用于显示测量结果、设置参数等信息,操作界面简洁明了。
6.键盘:用于输入参数、设置功能等,按键布局合理,易于操作。
7.机载电池:为经纬仪提供电力支持,确保长时间稳定工作。

三、仪器设备
电子经纬仪1台,脚架1个,木桩4个,记录板1块,斧头1把,花杆2个。
四、操作步骤
一、电子经纬仪的构造认识:
(一)、开机与初始设置
1.打开电子经纬仪的电源开关,等待显示屏亮起。
(二)、仪器对中与整平
1.选择稳固的地面安置三脚架,并调整架头高度。
2.使用垂球或光学对中器进行对中操作,确保经纬仪中心与测站点在同一铅垂线上。
3.进行整平操作,调整三脚架脚螺旋使水平度盘气泡居中。
(三)、瞄准与读数
1.松开望远镜和照准部的制动螺旋,用瞄准器粗略瞄准目标。
2.调整望远镜调焦透镜,使目标清晰成像在十字丝分划板上。
3.读取水平度盘和竖直度盘上的读数,并记录数据。
(四)、角度观测练习
1.选择远端高处明显标记作为目标进行水平角观测练习。
2.进行多个测回的观测,比较不同测回的结果,分析误差来源。
二、测回法观测水平角:
(一)、仪器安置与对中整平:
1.将电子经纬仪安置在三脚架上,确保仪器稳固且水平。
2.使用对中器或激光对中功能,使仪器中心与测站点铅垂线重合。
3.调整三脚架的三个脚螺旋,使圆水准器气泡居中,实现仪器的初步整平。
4.进一步使用长水准器进行精确整平,确保仪器在任意方向上均保持水平。
(二)、仪器设置与校准
1.开机并进入仪器测量界面。
2.根据实验需求,设置水平角的起算方向(如选择某一目标点的方向作为0°方向)。
3.进行必要的仪器校准,如水平轴和竖轴的校准,以确保测量精度。
(三)、目标照准与读数记录
1.使用望远镜的粗瞄准器对准目标点。
2.调整望远镜调焦旋钮,直至清晰看到目标点。
3.旋紧水平与垂直制动旋钮,微调两微动旋钮,将十字丝中心精确照准目标点。
4.按置零键(或相应功能键),将仪器水平角度值置为0°00′00″(或相应起始值),作为水平角起算的零方向。
5.顺时针或逆时针转动照准部,瞄准其他目标点,并记录仪器显示的水平角读数。
(四)、对每个目标点进行多次观测,以提高测量精度。
1.记录每次观测的数据,包括目标点编号、观测次数、水平角读数等。
2.对观测数据进行处理和分析,计算每个目标点的平均水平角,评估测量精度。
五、注意事项
1、经纬仪对中时,应使三脚架架头大致水平,否则会导致仪器整平困难。
2、经纬仪整平时,应检查照准部旋转至任意方位水准管气泡皆居中。
3、经纬仪的对中、整平要反复进行,严格的同时达到要求,否则所测出的水平角不是工程中所需要的角度。
4、盘左、盘右瞄准时要用十字丝瞄准统一目标。
5、在测量时要特别注意水准管轴垂直于竖轴的校验和仪器的整平,以消除水准管轴不垂直于竖轴倾斜误差。消除水平度盘偏心差、视准轴不垂直于横轴、横轴不垂直于竖轴引起的误差可用盘坐盘右观测取平均值的方法消除。减弱度判刻划不均匀误差的影响,可用变换度盘取平均值的方法。
6、在做实验时在仪器的使用过程中,要注意仪器的保护,以避免因失误而造成的不必要的损失。三脚架要放置在尽量平稳的地方,放平后再安置仪器。调节及拆装仪器时动作要轻要慢。
7、在做实验时,可以分工合作,各个步骤穿插进行。比如几个人在进行某一步骤时, 组内其他人可以同步进行其他步骤。当操作步骤不确定时可以互相讨论,以达成一致找到正确方法。这样可以提高效率,缩短时间,也是锻炼组内成员的合作能力。
8、对书上某些概念要掌握清楚、理解透彻。如盘左盘右的概念、仪器的度数、误差的可能性及消除等。对操作步骤也要有大致的掌握。这样不但可以节省实验时间,得到正确结果,也可以加深对实验的理解与体会,操作起来更加熟练,避免由于理解不到位引起的错误。
六、实验报告要求
1.在实验过程中,我们观测并记录了以下数据。所有数据均来自电子定位仪的直接读数,并经过初步检查以确保其准确性。
2.所有读数均保留两位小数,方向为相对于起始方向(如北方向)的顺时针或逆时针角度。
3.根据观测数据,我们计算了每个目标点的平均水平角,并标出了测量精度。平均水平角计算结果。
《测量学》课程实验指导书
实验三 全站仪坐标测量及坐标放样实验
一、试验目的
1.掌握全站仪的基本操作,如开机、关机、仪器校准、坐标测量等。
2.熟悉全站仪的各种功能,包括距离测量、角度测量、高程测量等,并了解其在三维坐标测量中的应用。
3.掌握全站仪三维坐标放样方法:通过实际操作,熟悉全站仪在三维坐标放样中的基本流程和注意事项。
4.理解放样原理:深入理解全站仪进行三维坐标放样的基本原理,包括角度测量、距离测量及坐标计算等。
5.培养实践技能:通过实践,提高解决实际工程问题的能力,培养团队协作精神和科学态度。
二、试验原理
全站仪是一种集测距仪、电子经纬仪和计算机技术于一体的先进测量仪器,具有自动化、数字化和智能化的特点。它通过发射和接收激光束进行测距,同时利用电子经纬仪测量角度,结合计算机技术进行数据处理,能够快速、准确地完成三维坐标测量。
坐标测量原理:通过全站仪测量目标点的水平角、垂直角和距离,结合已知点坐标和仪器高,计算出目标点的三维坐标(X、Y、Z)。
坐标放样原理:全站仪是一种高精度、高效、全自动的测量仪器,可以通过对地理坐标系进行精确的三维坐标测量,进而实现复杂工程量的计算和控制。放样是指根据设计图纸,按比例和比例尺标准把现场地形、建筑物的长度、角度等几何信息合理地绘制到场地上。在使用全站仪进行三维坐标放样时,首先需要设置放样基准点。在基准点处设置起始点,并输入起始点的坐标、相应的放样间距和比例尺。全站仪根据这些信息,能够准确计算出相应的目标点坐标,并指示出放样的方向和距离。在确定目标点位置后,使用全站仪对目标点进行测量和标记。

三、仪器设备
全站仪1台、三脚架1个、棱镜及连接杆1套、已知控制点坐标数据、已知控制点坐标数据、、记录纸、铅笔等记录工具。
四、操作步骤
(一)、坐标测量步骤:
1.仪器准备与检查。
2.确保全站仪外观完好,无明显损坏。
3.检查电池电量,确保充足。
4.准备棱镜、三脚架、连接线等必要附件。
5.选择视野开阔、无遮挡物的位置作为测站点。
6.将三脚架放置在测站点上,调整高度适中。
7.将全站仪安装在三脚架上,确保稳定。
8.进行仪器校准,包括水平度盘和垂直度盘的校准。
9.输入测站点的已知坐标和仪器高。
10输入后视点的已知坐标和棱镜高。
11.在需要测量的目标点上设置棱镜。
12使用全站仪分别测量目标点与测站点之间的距离、水平角和垂直角。
13.记录测量数据,包括距离、水平角、垂直角和坐标值。
14.将测量得到的坐标数据进行整理,形成表格形式。
15.根据测量数据,分析误差来源,判断测量精度。
(二)、坐标放样步骤:
(1)、现场勘测与准备
1.进行现场勘测,选择合适的放样基准点,并使用全站仪对其进行测量和标记。
2.准备三脚架、棱镜、连接线等必要附件,确保齐全。
3.将全站仪安装在三脚架上,确保稳定。
(2)、设置起始点与输入数据
1.在基准点处设置起始点,并测量其坐标。
2.将起始点的坐标、放样间距和比例尺等信息输入全站仪。
(3)、进行放样
1.根据全站仪的指示,沿着设定的方向前进,并在每个目标点处使用全站仪进行测量和标记。
2.在测量过程中,注意调整全站仪的角度和距离,确保放样的准确性。
五、成果处理
在实验区域内共选取了N个测量点(N为具体数值,根据实际情况确定),每个点位测量时间均在XX分钟以上,以确保数据的准确性。所有测量数据均已准确记录,包括点位坐标、高程等信息。经过数据处理和分析,得到了每个测量点的三维坐标值。坐标放样需将测量和标记的数据导入专业软件(如CAD),绘制出放样图形,对比设计图纸与放样结果,验证放样的精度和准确性
六、实验报告要求
总结实验过程中学到的知识和技能,包括全站仪的基本操作、坐标测量原理、坐标放样数据处理与分析方法等。反思实验过程中遇到的问题和困难,以及解决的方法和经验。列出所有测量点的原始数据和处理后的坐标值。直观展示测量点的分布情况和测量结果。列出所有放样点的实际测量坐标与设计坐标的对比情况。
《热网水力工况》课程实验指导书
实验一 热网水力工况实验台(NRW-09)实验
一、试验目的
使用热网水力工况模型实验装置进行几种水力工况变化的实验,能直接的了解热网水压图的变化情况,巩固热水网路水力工况计算的基本原理。掌握水力工况分析方法、验证热水网路水压图和水力工况的理论。
二、试验原理

图的下半部由管道、阀门、流量计、锅炉、水泵组成,用来模拟由5个用户组成的热水网路,上半部有高位水箱和10根玻璃测压管,测压管的顶端连接在一起与大气相通,测压管下端用胶管与网路分支点相接,用来测量热网用户连接点处的供水干管与回水干管的测压管水头(水压曲线高度)。每组用户的两支测压管间附有标尺以便读出各点压力。
三、仪器设备
热网水力工况实验台(NRW-09)
四、操作步骤
1、正常水压图
启动水泵缓慢打开闸阀1和闸阀3,水由水泵经锅炉进入供水干管、用户、回水管,另一部份进入高位水箱,待系统充满水,打开闸阀2的同时关闭闸阀1,保持水箱水位稳定,调节各阀门,以增加或减少管段的阻力,使各节点之间有适当的压差,待系统稳定后,记录各点的压力和流量,并以此绘制正常水压图。
2、关小球阀3时的水压图
将闸阀7恢复到原来位置,把球阀2关小,记录新水压图各点的压力和流量。
3、关闭用户4小时的水压图
将球阀5恢复原状,各点压力一般不会恢复到原来读数位置,不一定强求符合原来的正常水压图。关闭,记录新水压图各点压力和流量。
4、关小供水干管中球阀5时的水压图
将球阀5关小一些,这时热网中总流量将减少,供水干管与回水干管的水速降低,单位长度的压力将减少,水压图比正常工况时平坦些,在球阀5处压力突然降低,球阀5以前的用户,由于资用压头增加,流量都有所增加,越近球阀5的用户增加越多,球阀5以后各用户的流量则减少,减少的比例相同。即所谓一致等比失调,记录各点压力、流量。绘制新水压图与正常的进行比较,并记录各用户流量的变化程度。
5、球阀2恢复原来位置,关闭球阀1,观察网路各点的压力变化情况。即回水定压。
6、球阀1恢复原来位置,关闭球阀11,观察网路各点压力变化情况,即给水定压、(注:此时应将水箱位置升高一些)。
实验完毕,关闭闸阀1和2,停止水泵运行。(总装图如下图所示)

五、成果处理
a、记录压力及流量读数
水压 毫米水柱工况 |
A1 |
B1 |
C1 |
D1 |
E1 |
|
|
备注 |
A2 |
B2 |
C2 |
D2 |
E2 |
|
|
|
1 |
正常 |
|
|
|
|
|
|
|
|
|
|
|
|
|
|
|
关闭小球阀A |
|
|
|
|
|
|
|
|
|
|
|
|
|
|
|
流量(i/h) |
|
|
|
|
|
|
|
|
2 |
正常 |
|
|
|
|
|
|
|
|
|
|
|
|
|
|
|
关闭小球阀7 |
|
|
|
|
|
|
|
|
|
|
|
|
|
|
|
流量(i/h) |
|
|
|
|
|
|
|
|
3 |
正常 |
|
|
|
|
|
|
|
|
|
|
|
|
|
|
|
关闭小球阀5 |
|
|
|
|
|
|
|
|
|
|
|
|
|
|
|
流量(i/h) |
|
|
|
|
|
|
|
|
b、水力失调度χ计算

c、根据实验情况分别绘制水压图。并评价各工况实验结果。